서론
선행연구
1. 수도권 거주자 모빌리티 및 공간 특성 분석 연구
2. 이변량 공간적 자기상관 분석
3. 모빌리티 특성의 다차원 분석 지표 연구
4. 차별성
분석 방법
1. 공간적 범위 및 데이터
2. 공간적 자기상관 분석
3. 모빌리티 특성 지표
수도권 거주자 모빌리티의 탐색적 공간분석 결과
1. 모빌리티 주성분 지표 간 상관분석
2. 전역적 Moran’s I (Global Moran’s I)
3. 국지적 Moran’s I (Local Moran’s I)
결론
서론
수도권은 인구의 급격한 증가와 교통인프라의 발달로 인해 중심도시인 서울로부터 인천, 경기도를 포함한 하나의 대도시권으로 확장되었다. 특히 수도권은 우리나라 전체 인구의 약 51%, 명목 지역내총생산(GRDP)의 약 52%, 사업체 수의 49%, 종사자 수의 52%가 모여있는 우리나라 최대의 대도시권이다.1) 이러한 인구 증가와 집중, 그에 따른 도시공간구조의 확장은 이들 지역에 거주하는 사람들의 활동과 통행행태에도 영향을 미친다. 비록 경제활동 및 생활권의 광역화로 수도권은 일체화된 공간을 형성하였다고는 하나, 각 지역의 인구구조, 산업구조, 생활양식은 서로 다르다. 따라서, 수도권광역도시계획 또한 광역적 차원에서 접근하되 수도권의 지역 특성별로 다르게 접근하여야 한다. 즉 수도권 거주자의 다양한 모빌리티 행태를 파악하여 각 특성을 반영, 연계하는 광역계획을 수립할 필요가 있다.
최근 통행행태 분석 연구는 모바일 통신, 차량 GPS, 대중교통 카드 데이터 등 다양한 모빌리티 빅데이터의 위치정보를 적극 활용하여 의미 있는 모빌리티 지표를 도출하는 연구가 활발히 진행되고 있다(Kim et al., 2019; García-Albertos et al., 2019; Cao et al., 2019; Martin et al., 2023). 이렇게 개발된 모빌리티 지표는 개개인의 통행행태 파악뿐만 아니라 특정 지역 단위에서의 교통수요 및 통행 특성을 면밀하게 모니터링하는데 활용될 수 있다. 그러나 기존의 대도시권에 대한 공간분석은 주로 출발지-도착지 기반 OD통행분석에 국한되어 지역민의 상세한 통행행태 특성을 충분히 설명하기 어렵다. 즉, 개인의 통행에서 체류, 이용 교통수단, 통행 빈도, 통행목적, 방문 장소 유형 등 통행의 맥락을 파악하는데 한계가 있다.
한편 모빌리티 빅데이터로부터 만들어진 다양한 통행행태 지표는 통행 거리, 시간 등 주로 통행의 단차원적인 특성을 담아내고 있어, 현실의 복잡한 개개인의 통행행태 특성을 간결하게 설명하지 못한다. 따라서 본 연구에서는 이를 극복하기 위해 Won et al.(2024)이 제시한 다차원 모빌리티 지표(Multi-Dimensional Mobility Indicator; MDMI)를 모빌리티 특성 지표로 활용하였다. 다차원 모빌리티 지표는 여러 단차원 모빌리티 지표들의 특성을 요약하여 설명하는 공통적인 성분을 활용하여 개발된 지표로 개인별 통행행태를 종합적으로 유형화하여 이해하는데 유용하다. 또한 이를 활용한 공간 단위의 모빌리티 특성 분석은 도시 내 교통인프라 계획, 대중교통 운영 효율화, 공유 모빌리티 서비스 배치 등 다양한 정책 설계와 의사결정의 기초자료로 활용될 수 있을 것이다.
모빌리티 특성을 공간 단위로 분석할 때 우선적으로 고려해야 할 사항은 공간자기상관성이라는 공간 고유의 특성이다. 즉, 지역은 행정구역을 경계로 명확히 구분되지 않고, 서로 유기적으로 연결되어 있다. 이러한 지역적 인접성에 따라 영향을 주고받는 상호의존적인 특성을 공간적 자기상관성이라고 한다(Kim, 2003). 수도권의 경우 타지역으로 통근하는 장거리 통행이 빈번하게 발생하며, 지역 경계를 넘어서는 다방향적(multidirectional) 통근패턴을 보이기에(Kim and An, 2018; Shin and Woo, 2021) 지역별 모빌리티 특성 분석 시 공간적 자기상관성을 고려해야 한다. Won et al.(2023)은 수도권을 대상으로 가까운 지역에 거주하는 사람들은 도시 및 지역 인프라를 공유하기 때문에 유사한 통행특성을 지닌다는 것을 분석해냈다. 이 연구에서는 국지통계분석 방법론 중 일변량 LISA(Local Indicator of Spatial Association)를 활용하여 시군구 단위로 집계된 개개인의 통행거리 및 시간 등 전통적인 모빌리티 특성의 집적 지역과 이례 지역을 파악하였다. 그러나 모빌리티 지표를 각각 독립적으로 살펴보는 것은 개인의 활동-통행행태를 종합적으로 반영하지 못하며, 지역의 문제를 진단하고 해석하는데 한계를 지닌다(Zhou et al., 2023).
따라서 본 연구에서는 다차원 모빌리티 지표를 이용하여 개개인의 활동-통행행태를 종합적으로 분석하고, 이를 공간단위로 집계하여 하나의 대도시권 내에서도 지역별로 상이하게 나타나는 공간구조를 이해하고자 한다. 이를 위해 하나의 변수 또는 두 가지 변수의 공간적 분포양상을 바탕으로 국지적 집적 및 특이패턴을 분석할 수 있는 공간적 자기상관 분석방법(Univariate/Bivariate Local Moran’s I)을 활용한다. 또한 모빌리티 지표로는 Won et al.(2024)이 제시한 개별 모빌리티 특성을 요약한 다차원 모빌리티 지표(MDMI) 4가지를 활용하고자 한다. 이를 통해 수도권의 다양한 광역교통 정책 설계와 의사결정과정에 근거로 활용될 수 있는 공간 단위 모빌리티 특성 및 이들의 공간패턴을 제시하고자 한다.
이를 위해 2장에서는 수도권 모빌리티 특성 분석, 공간적 자기상관 분석, 다차원 분석 지표를 활용한 개인의 활동통행 패턴 분석 연구를 검토하고, 본 연구의 차별성을 도출하고자 한다. 3장에서는 활용 데이터, 모빌리티 지표 및 다양한 공간통계 분석 방법을 살펴보고, 4장에서는 수도권 시군구 거주자별 공간통계 분석 결과를 탐색적으로 살펴보고자 한다. 마지막 5장에서는 분석 결과를 바탕으로 본 연구의 의의와 함께 한계 및 향후 연구 방향을 제시하고자 한다.
선행연구
본 연구 목적은 공간통계분석 방법을 이용해 수도권 거주자의 공간적 모빌리티 특성을 분석하는 데 있다. 따라서, 선행연구로 수도권의 모빌리티 특성 분석, 공간적 자기상관 분석 사례를 중심으로 검토한다. 또한 개인의 활동통행 패턴 분석에 다차원 분석 지표를 활용한 연구를 함께 검토함으로써 본 연구의 차별성을 구체화하고자 한다.
1. 수도권 거주자 모빌리티 및 공간 특성 분석 연구
수도권 거주자의 모빌리티 및 공간 특성을 분석한 연구 중 먼저 가구통행실태조사를 활용하여 통행패턴을 분석한 연구를 살펴보았다. Choo et al.(2013)은 고령자의 통행패턴을 분석하고자 2006년과 2010년의 통행횟수, 거리, 소요 시간뿐만 아니라 출발 시간대, 수단, 목적별 통행 분포를 비교하였다. 분석 결과, 고령자가 다양한 사회활동에 참여함에 따라 전체 통행량이 증가하였으며, 특히 단거리 통행과 출근 목적 통행이 두드러지게 증가한 것으로 나타났다. Park et al.(2013)은 개인의 시간이용에 따른 통행패턴 차이를 확인하기 위해 전일제 근로자와 학생의 통행목적연계 비율을 지역별로 시각화하였다. 전일제 근로자가 퇴근 후 여가·쇼핑활동을 하는 비율이 높은 상위 3개 지역은 서울 마포, 서울과 인접한 경기 과천, 하남으로 나타났다. 한편, 학생의 학원 목적이 포함된 통행목적 연계 비율이 높은 지역은 학원 특구로 알려진 서울 강남, 노원, 목동 지역 및 서울 근교의 신도시였다.
또한 수도권 혹은 서울특별시를 대상으로 인접한 지역에서 서로의 값들에 대해 영향을 주고받는 상호의존적 특성을 고려한 연구도 있었다. 이들은 공간적 자기상관성을 확인하기 위해, 전역적 자기상관성을 측정하는 Moran’s I, 국지적 자기상관성을 측정하는 LISA를 활용하였다. Chea and Shin(2015)은 도시공간의 사회적 다양성이 높은 지역과 낮은 지역의 공간적 자기상관을 분석하고, 다양성의 공간 클러스터를 탐색하였다. 분석 결과, 인구밀도를 기준으로 도시성이 높은 지역(서울 도심 등)에서는 교육과 주택 다양성이 높게 나타난 반면, 도시성이 낮은 지역(경기도 경계 지역 등)에서는 연령과 가구 다양성이 상대적으로 높게 나타났다. 또한, Kim and An(2018)은 수도권의 공간적 상호작용을 고려한 중심지 설정방법론을 제안하였다. 중심지 후보 지역에 대해 LISA를 수행한 결과, 서울시의 일부 지역(종로, 용산, 강남), 서울과 인접한 인천·경기 지역에 중심지가 도출되었다. Won et al.(2023)은 Moran’s I, 일변량 LISA를 활용하여 통행 특성, 체류시간, 활동공간 특성 등 모빌리티 지표별로 공간적 집적 및 이례 지역의 분포 양상을 확인하였다.
한편 공간 데이터에 선형회귀모형을 적용할 경우, 이들 간 상관관계가 존재하여 분석 결과가 왜곡될 수 있다. 일부 연구자들은 이를 통제하는 방법인 공간회귀모형의 적용 가능성 검토를 위해 공간적 자기상관 분석 방법을 활용하였다. Jin et al.(2012)은 공간회귀분석 모델을 적용하기에 앞서 Moran’s I, LISA를 통해 종속변수의 공간자기상관성을 진단하였다. 통근 통행 유입량의 LISA 결과, 서울의 대표적인 중심업무지역인 도심(종로구, 을지로)과 강남구 일대가 핫스팟 지역으로 나타났다. Jang and Yi(2021)는 수도권의 지역 통근 접근성과 소득 계층별 가구 주거지 간의 공간적 상관관계를 분석하기 위해 이변량 Moran’s I와 LISA를 활용하였다. 분석 결과, 모든 계층의 가구가 상대적으로 통근 접근성이 높은 지역에 거주할 가능성이 크게 나타났다. 소득 수준이 높을수록 이러한 경향이 뚜렷하여, 고소득 가구가 교통 접근성이 좋은 지역에 집중적으로 거주함을 확인하였다. Park and Woo(2022)는 Moran’s I, LISA를 통해 기존 직주균형지수와 본 연구에서 개발한 통근거리 반영 직주균형지수의 자기상관을 검증 및 비교하였다. Moran’s I 분석에서는 두 지수 모두 공간적 자기상관성이 유의하게 나타났으나, LISA에서는 거리 반영 지수만 수도권 외곽지역의 원거리 통근패턴이 반영됨을 확인하였다. Kim et al.(2023)은 고령자의 대중교통 이용에 영향을 미치는 도시 특성을 분석하고자 하였다. 공간회귀모형 적용에 앞서, 종속변수인 고령자 대중교통 통행량에 대해 Moran’s I, LISA를 수행한 결과, 서울시 내에서 유의한 공간적 자기상관성이 존재함을 확인하였다.
2. 이변량 공간적 자기상관 분석
공간적 자기상관을 분석하는 연구에서는 주로 일변량 Moran’s I, LISA를 사용하였다. 이러한 단변량 접근은 여러 변수 간의 공간적 상호작용을 포착하기에는 한계가 있다. 이에 Anselin et al.(2002)은 한 변수의 값이 특정 위치에 관측되었을 때, 인접 지역에서 관측된 다른 변수와 갖는 관계를 탐색할 필요성을 제기하며 기존 일변량 LISA를 다변량 LISA로 확장하였다. 최근 연구에서도 이변량 공간적 자기상관 분석의 필요성이 제기되고 있다. Zhou et al.(2023)은 두 가지 이상의 변수가 있을 경우, 각각을 독립적으로 살펴보는 것은 개인의 활동을 제대로 반영하지 못하며, 지역 내 문제를 원활하게 해석할 수 없다는 한계를 지적하였다. Yun and Park(2014)은 이변량 분석을 통해 두 변수 간의 공간적 분포패턴을 확인할 수 있다고 보았으며, Kim(2015) 또한 두 변수 간의 공간적 군집을 탐색하는 데 유용한 방법으로 이변량 LISA를 활용하였다. 이러한 맥락에서 본 연구는 이변량 Moran’s I, 이변량 LISA를 사용하여 두 변수 간의 공간적 관계를 파악한 선행연구를 살펴보고자 한다.
이변량 공간적 자기상관 분석 연구는 주로 복지 측면에서 통행 취약계층인 노인과 유아 대상의 공공서비스시설 혹은 의료 접근성을 분석하거나, 해당 서비스의 수요와 공급 불일치성을 파악하였다. 먼저 Kim(2015)은 서울시의 국공립어린이집을 대상으로 공공보육서비스의 공간적 형평성을 평가하였다. 이변량 LISA의 변수로 보육 기회와 평가 기준(영유아 인구수, 주택 실거래가)을 활용하여 보육 필요 지역을 도출하였으며, 서울 북서부 외곽의 일부 재정자립도가 낮은 자치구가 공공보육서비스의 우선 설치지역으로 식별되었다. Cho and Lee(2017)는 이변량 LISA를 통해 노년 인구의 거주 분포와 노인 수요 시설물(병원, 한의원, 공원, 복지관, 경로당, 전통시장) 간의 공간적 불일치성을 탐색하였다. 그 결과, 서울 도심지역은 노년 인구와 수요 시설이 대체로 일치하여 분포하고 있는 반면, 서울 외곽지역 일부는 노년 인구가 집중되어 있음에도 불구하고 수요 시설의 공급이 부족한 것으로 나타났다. Jin et al.(2022)은 중국 상하이의 소득 집단 간 의료 서비스 접근성을 평가하기 위하여 이변량 LISA를 적용하였다. 인구밀도와 교통수단별(자가용, 대중교통) 의료 서비스 접근성을 두 변수로 설정한 결과, 저소득 지역은 주로 의료 서비스가 과소 공급, 고소득 지역은 반대로 과잉 공급된 것으로 나타났다. 또한, 인구밀도와 의료 접근성 간의 양의 상관성은 1차 의료기관보다 대형 병원에서 훨씬 더 강하게 나타나, 인구가 밀집된 지역일수록 대규모 의료 자원이 집중되는 경향을 확인하였다. 또한, Kim(2024)은 이변량 LISA를 사용하여 서울시 노인복지 시설의 수요(노인인구 수)와 공급(노인여가복지 시설 분포) 간의 공간적 불일치성을 분석하였다. 분석 결과, 서울 외곽 일부 지역은 노인인구가 평균보다 적음에도 불구하고 인근 지역에 노인여가복지 시설이 많이 입지해 있었다. 반대로 서울 중심부는 노인인구는 평균보다 많음에도 인근 지역에 이용 가능한 복지 시설이 부족하거나, 규모가 충분하지 않아 수요-공급 간의 불일치가 나타났다. Jeon et al.(2024)은 고령인구 수 및 공공서비스시설별 접근성을 이변량 Moran’s I, LISA의 변수로 설정하여 고령인구의 접근성 취약지역을 도출하였다. 분석 결과, 대전광역시의 고령인구는 주로 주공아파트와 단독주택이 밀집한 원도심에 분포하며, 노인 의료·복지 관련 시설과의 접근성이 취약한 지역으로는 주공아파트가 집중된 관저동으로 확인되었다. 마지막으로 Jung and Kang(2024)은 강원도 춘천시의 의료 취약지역 도출을 위해 노인 및 소아청소년의 의료 접근성을 변수로 한 이변량 LISA를 적용하였다. 그 결과, 춘천시의 병원은 지역 중심에 집중된 반면, 외곽으로 갈수록 주민들의 의료 접근성이 낮아짐을 확인하였다.
그 외에도 관광, 철도 서비스 형평성, 기능적 도시지역(Functional Urban Regions; FURs) 경계 설정 등을 주제로 이변량 공간적 자기상관 분석 방법을 활용하였다. 먼저 Gutiérrez et al.(2017)은 스페인 바르셀로나에서 관광 명소와 숙소(호텔, 에어비앤비)의 공간 분포를 분석하기 위해 이변량 Moran’s I와 LISA 기법을 활용하였다. 분석 결과, 호텔과 에어비앤비 모두 그 수가 도심에 집중되고, 외곽으로 갈수록 감소하는 패턴을 보였다. 이때 호텔은 도심의 주요 관광 동선에, 에어비앤비는 도심의 관광 명소 인근에 집중되어 에어비앤비가 호텔보다 관광지 접근성의 이점을 더 크게 활용한다는 점이 드러났다. Aguiar et al.(2020)은 브라질 상파울루를 대상으로 기능적 도시지역(FURs)의 경계 설정을 위해 통근 통행량(유출, 유입)과 인구 데이터를 활용한 이변량 공간분석을 수행하였다. 이때 통근 통행량을 개별 지역의 변수로, 인구 데이터를 인근 지역의 변수로 설정하였을 때가 공식 FUR 경계와 가장 일치함을 확인하였다. Shan et al.(2022)은 우한시 거주자의 시공간 활동을 고려한 대기오염 노출 위험도를 측정하고, 다양한 연령대 인구집단 간의 건강 형평성 문제를 분석하고자 하였다. 이를 위해 PM2.5 및 노인·유아 인구를 변수로 설정하여 이변량 LISA 분석을 수행하였으며, 고령자는 도심 내부 고위험, 아동은 외곽 고위험이라는 공간적 분화 양상을 확인하였다. 마지막으로 Kim(2023)은 지역 간 철도의 공급 수준과 수요를 평가하고자 철도 공급 중심성과 수요 중심성을 변수로 일변량·이변량 LISA를 활용하였다. 분석 결과, 경북권과 충청권은 타지역에 비해 철도 서비스 수준이 매우 높은 것으로 나타났다. 반면 전남권, 강원권 일부 지역은 공급과 수요 모두 낮은 수준을 보였다.
3. 모빌리티 특성의 다차원 분석 지표 연구
개인의 모빌리티 특성을 분석한 기존 연구들은 주로 대표성이 있는 소수의 지표만을 사용해 왔으며, 이에 모빌리티 패턴의 일부만을 설명하는데 그치는 경우가 많았다. 그러나 활동-통행패턴은 시간, 공간, 목적 등 다양한 요인의 복합적인 상호작용으로 나타나기에 지표 간의 상호의존성을 고려한 접근이 필요하다. 또한 다양한 지표로 측정된 모빌리티 특성을 요약하고 해석하기 위해서 다차원적 분석을 수행한 연구가 진행되었다.
Fillekes et al.(2019)은 개인의 일상적인 활동통행 패턴을 측정하기 위해 GPS 기반 모빌리티 지표를 활용한 분류 프레임워크를 제시하였다. 이때 모빌리티 지표에 내재된 잠재적 차원을 탐색하기 위해 20개의 모빌리티 지표를 바탕으로 탐색적 요인 분석(Exploratory Factor Analysis)을 수행하였고, 그 결과 6개의 서로 다른 잠재 요인으로 도출하였다. 해당 요인에는 활동공간의 범위(extend of life space), 외출 횟수(quantity of out-of-home activities), 교통수단 이용 시간(time spent in active transport modes), 통행의 시간적 특성(timing of mobility) 등이 포함된다. Xu et al.(2021)은 관광객의 도시 내 통행패턴을 다차원적으로 탐색할 수 있는 분석 프레임워크를 제안하였다. 관광객 통행패턴의 정량화를 위한 9가지 개인 모빌리티 지표를 제안하였으며, 이 지표에는 관측 일수(number of observation days), 체류 기간(time span), 활동 거점 수(number of activity anchor points), 통행 횟수(total number of trips), 활동 엔트로피(activity entropy), 통행 다양성(travel diversity) 등이 포함된다. 이후 고윳값 분해(Eigen-value decomposition)를 이용해 관광객 통행패턴의 주성분을 추출하였고, 전주, 강릉, 춘천의 세 도시 모두에서 두 개의 주성분이 전체 모빌리티 패턴의 80% 이상을 설명할 수 있음을 제시하였다.
한편 활동통행 패턴을 유형화하기 위하여 다차원 분석 지표를 산출한 연구가 진행되었다. Jiang et al.(2012)은 시카고에서 사람들이 수행하는 주중, 주말의 평균적인 활동 패턴을 파악하였다. 이때 Travel Tracker Survey 데이터의 활동유형(집, 직장, 학교, 교통수단 관련 활동 등) 및 시간을 통해 특정 시간대에 행하는 활동(Eigenactivity)을 추출하였다. 일례로 평일은 오전 7시~오후 5시에 근무하는 활동이, 주말은 오전부터 밤까지 외출하거나 친구를 만나러 가는 활동이 첫 번째 주성분으로 추출되었다. 또한 Lee(2020)는 스마트카드 자료를 활용하여 서울시 고령인구를 통행특성에 따라 유형화하고, 유형별 시공간적 통행특성을 파악하고자 하였다. 유형 분류 과정에서 주성분 분석을 활용하여 통행횟수(일주일, 일평균), 통행범위, 통행·활동시간 등 11개의 통행특성 변수를 3개의 요인(일주일간의 통행 빈도, 체류 특성, 통행량 및 범위)으로 추출하였다. Kong et al.(2021)은 서울시 직장인의 통행행태를 분류하고, 분류된 군집별로 거주지·직장 지역의 토지이용 및 기반시설 수준과의 관련성을 고찰하였다. 이 과정에서 가구통행실태조사 데이터를 기반으로 활동유형과 시간대를 결합한 고차원 데이터의 분석을 위해 PCA를 활용하였다. 그 결과, 전체 분산의 60.4%를 설명하는 7개의 주성분을 도출되었으며, 이중 기여도가 가장 높은 주성분은 오전 및 오후 첨두시간대의 통행, 오전 8시~오후 4시에 직장/업무 활동, 오후 6시 이후의 거주지 체류와 관련된 행태로 나타났다. 최근에는 Yang et al.(2023)이 미국 가구 통행 조사(NHTS)의 응답을 바탕으로 8가지 통행 유형을 도출하였다. 이를 위해 하루를 시간 구간별로 나누어 각 구간에서 수행된 활동유형과 교통수단의 시간 비율을 구성한 Temporal Mobility Choice Matrix를 만들고, 주성분 분석을 통해 차원을 축소하였다. 이후 k-평균 군집분석을 통해 미국 전역 통행자를 통근자, 낮시간 레저형 통행자, 학생 등의 유형으로 구분하였다. Zamprogno and Esztergár-Kiss (2024)는 활동 기반 설문조사지의 통행행태 관련 6개 문항(여가·일상 활동 빈도, 활동 소요 시간, 통행 거리 등), 사회인구통계 관련 5개 문항(나이, 학력, 소득 등)의 변수를 대상으로 주성분 분석, k-평균 군집분석을 수행하였다. 그 결과, 생활 패턴이 고정되어 있으며 안정적인 직업과 평균 소득을 가진 중년층(inflexible travelers), 여가 시간 대부분을 스포츠 활동에 사용하는 집단(sports practitioners)을 비롯한 7개의 도시 이동성 유형을 확인하였다. 마지막으로 Won et al.(2024)은 모빌리티 특성을 유형화하기 위해 통행 특성, 활동 장소별 체류시간, 모빌리티 복잡성, 활동 타원체 특성의 12개 지표를 기반으로 주성분 분석을 수행하였다. 그 결과 도출된 유형화의 기준(주성분)은 활동공간과 통행거리, 집 안과 집 밖 활동 비중, 복잡성과 활동 타원체의 원형성, 직장에서 보내는 시간의 4가지로 나타났다. 이를 바탕으로 모빌리티 패턴을 16개 유형으로 구분하는 다차원 모빌리티 지표(MDMI)를 개발하였다.
4. 차별성
선행연구 검토 결과, 수도권을 대상으로 한 기존 연구들은 모빌리티 및 공간 특성을 분석하기 위해 전역적 공간상관 분석 기법인 Moran’s I와 국지적 공간상관 분석 기법인 LISA를 활용해왔다. 또한, 공간적 자기상관성을 고려한 공간 회귀분석 모델을 활용하여 사회경제, 공간, 교통 요인 등 다양한 변수들이 통행에 미치는 영향을 정량적으로 분석하였다. 그러나 본 연구는 이러한 영향요인 분석에 초점을 맞추기보다는, 개인의 통행패턴을 통해 동일한 대도시권 내에서도 지역별로 상이하게 나타나는 모빌리티 특성을 규명하는 데 주력하고자 한다. 이와 함께, 기존 연구에서는 수도권 거주자의 모빌리티 특성 분석을 위해 가구통행 실태조사 자료뿐만 아니라 교통카드 데이터 등을 활용하였으나, 분석 지표는 여전히 전통적인 집계 기반의 통행량, 통행시간 등에 초점이 맞춰져 있었다. 이에 본 연구는 개인의 통행패턴을 탐색하기 위해 개인의 설문지 응답에 기반한 정보보다는 위치정보 기반(좌푯값 기반)의 모빌리티 지표를 주로 활용하고자 한다(Won et al., 2024).
모빌리티 및 공간 특성 연구에서 공간적 자기상관성을 분석할 경우 주로 일변량 Moran’s I, LISA를 사용하였으며, 두 가지 이상의 변수가 서로 독립적이지 않은 경우에도 그러했다. 한편 이변량 공간적 자기상관성 분석 연구는 공공서비스나 철도의 수요-공급 불일치를 파악하거나, 건강 형평성, 관광, 기능적 도시지역의 경계 설정 등을 주제로 분석되었다. 이에 본 연구는 이변량 공간적 자기상관 분석 방법을 적용하여, 기존에 활발히 이루어지지 않았던 모빌리티 및 공간 특성 분석 분야에서의 활용성을 탐색하고자 한다. 이를 위해 수도권 내 거주자들의 모빌리티 행태가 지역별로 어떻게 집적, 분산되는지 식별함으로써 통행패턴에 기반한 지역 간 차이를 파악하고자 한다. 이러한 분석은 향후 지역 맞춤형 도시계획이나 교통시설 확충 시, 거주민의 실제 통행행태를 반영한 정책 수립에 유용한 기초자료가 될 수 있을 것으로 기대된다.
마지막으로 본 연구에서는 활동통행 패턴을 각각의 지표가 아닌, 다차원적으로 접근하여 지표 간의 상호의존성을 고려하고자 한다. 기존의 활동통행 패턴 분석 연구는 이를 보여주는 소수의 모빌리티 지표만을 사용하였으나, 최근 연구에서는 모빌리티 특성이 시공간상에서 독립적이지 않은 다차원적인 구성임이 더 강조되고 있었다(Jiang et al., 2012; Fillekes et al., 2019; Lee, 2020; Kong et al., 2021; Xu et al., 2021). 이에 다차원 모빌리티 지표를 변수로 하는 일변량 및 이변량 공간적 자기상관 분석을 수행하여 기존 연구에서 다루지 못한 지역 간 모빌리티 패턴의 차이를 규명하고, 대도시권 내 공간구조에 대한 심층적 이해를 도모하고자 한다.
분석 방법
1. 공간적 범위 및 데이터
본 연구는 우리나라 최대의 대도시권인 수도권을 분석 대상으로 하며, 공간적 단위는 시군구로 설정하였다. 이때 경기도 안산시의 상록구, 단원구와 같은 시 하위 행정구 단위를 포함하고, 공간적 인접성 계산이 불가한 도서 지역(인천광역시 옹진군, 강화군)은 제외하여 총 75개(서울 25개, 인천 8개, 경기도 42개)의 공간 단위를 대상으로 분석하였다.
분석 데이터는 위치기반 정보 예시로 국가교통조사 중 2021년 ‘개인통행 실태조사’ 자료에 포함된 주중 통행자의 응답을 활용하였다. 수도권 거주자 56,860명의 통행데이터를 활용하였으며, 서울 거주자 22,051명(39%), 경기 거주자 28,173명(50%), 인천 거주자 6,636명(11%)으로 구성되어 있다.
2. 공간적 자기상관 분석
Tobler(1970)는 공간적 자기상관성 개념을 ‘모든 것들은 다른 모든 것들과 관련되어 있지만, 가깝게 있는 것들일수록 멀리 떨어져 있는 것들보다 더욱 그 연관성이 크다’라고 정의하였다. 즉, 공간적 자기상관 분석은 어떤 현상의 공간 패턴을 기술할 때, 그 현상의 공간배열이 우연적인지, 아니면 같은 변량을 가진 지역끼리 집적되어 패턴을 형성하고 있는지 파악하는 것이다(Lee and Noh, 2020).
1) 전역적 Moran’s I (Global Moran’s I)
비율, 등간척도로 측정된 데이터를 이용하여 공간적 자기상관성을 측정하는 방법에는 여러 가지가 있으며, Moran(1950)에 의해 제안된 I 지수가 보편적으로 이용된다. Moran’s I 통계량은 전역적(global) 통계량과 국지적(local) 통계량으로 나누어진다. 이중 전역적 일변량 Moran’s I 통계량은 공간 데이터의 자기상관성을 측정하기 위하여 연구대상지역 내에서 유사한 값들의 전반적인 군집경향을 하나의 값으로 요약하여 나타내는 지표이다. 공간적 자기상관성 분석 지표가 1개일 경우는 Equation 1과 같으며, 여기서 은 전체 공간 단위 수, 는 지역 의 속성값, 는 인접 지역 의 속성값, 는 평균값을 나타낸다. 는 공간 가중치 행렬을 나타내며, 와 가 서로 이웃하면 1, 그렇지 않으면 0의 값을 갖는다(Lee and Noh, 2020).
전역적 일변량 Moran’s I는 –1과 1 사이의 값을 가지며, 1은 완전한 양의 자기상관, -1은 완전한 음의 자기상관관계가 있음을 의미한다. 즉, 1에 가까울수록 유사한 값을 갖는 지역들이 공간적으로 인접한 경향이 강하고, -1에 가까울수록 높은 값과 낮은 값을 갖는 지역들이 규칙적으로 섞여 분포하는 공간 패턴을 말한다. 하지만 Moran’s I는 유사한 값들의 공간적 자기상관도를 측정하는 지수이기 때문에 높거나 낮은 값 중 어떤 것이 군집되어 있는지를 구분하지 못하고, 두 가지 경우 모두에서 자기상관성이 크게 산출된다.
한편 전역적 이변량 Moran’s I 통계량은 Equation 2와 같이 두 변수 간의 공간적 자기상관을 확인할 수 있다. 이때 는 지역 에서 변수 의 표준화된 값을, 은 인접 지역 에서 변수 의 표준화된 값을 나타내며, 는 지역 와 사이의 공간적 연관성을 의미한다(Anselin, 2002).
이변량 Moran’s I 통계량은 와 의 공간 시차값(spatial lag)의 부호에 따라 네 가지 유형의 공간 연관성에 대응된다. 즉, 두 변수가 모두 양수이거나 음수이면 양의 공간적인 상관이며, 두 변수의 부호가 다를 경우는 음의 공간적인 상관을 나타낸다(Anselin, 2002).
2) 국지적 Moran’s I (Local Moran’s I)
전역적 Moran’s I는 공간적 자기상관성을 하나의 값으로 나타내기 때문에 특정 지역이 전체 지역의 공간적 자기상관성에 얼마나 영향을 미치고 있는지 파악할 수 없다(Lee and Noh, 2020). 이에 Anselin(1995)은 LISA 지표를 개발하여 국지적 차원에서 특정 지역을 중심으로 주변에 유사한 값들을 보이는 공간적 군집패턴을 파악하였으며, 그중 국지적 Moran’s I를 본 연구에서 활용하였다.
먼저 국지적 일변량 Moran’s I는 Equation 3과 같이 나타내며, 는 지역 의 값 를 표준화한 값, 는 인접한 지역 의 값 를 표준화한 값, 는 공간 가중치 행렬을 나타낸다(Anselin, 1995). 특정 지역의 값과 인접한 주변 지역들의 가중평균 값이 서로 유사하게 나타나면 양의 자기상관으로, 반대로 두 값의 차이가 크게 나타나면 음의 자기상관으로 나타난다. 이때 국지적 Morans’ I는 전역적 지수와는 달리 값의 상한값과 하한값이 없으며, 값이 클수록 양의 상관관계를, 값이 작을수록 음의 상관관계를 나타낸다.
국지적 차원에서 공간적 연관성을 측정하는 경우, 공간적 연관 유형을 네 가지로 구분할 수 있다. 높은 값 주변에 높은 값이 존재하는 HH(high-high) 유형, 낮은 값 주변에 낮은 값이 존재하는 LL(low-low) 유형, 높은 값 주변에 낮은 값이 존재하는 HL(high-low) 유형, 낮은 값 주변에 높은 값이 존재하는 LH(low-high) 유형이 그것이다.
국지적 이변량 Moran’s I는 Equation 4와 같이 나타낸다. 는 변수 에 대한 지역 의 표준화된 값, 는 변수 에 대한 이웃한 지역들의 표준화된 값을 나타낸다. 은 변수 의 이웃 값들에 대한 공간 시차(spatial lag)를 나타낸다(Anselin, 2002). 이러한 국지적 이변량 Moran’s I는 특정 위치에서의 한 변수값과 이웃 지역에서의 다른 변수값들의 평균 간의 연관성 정도를 나타내며, 일변량 Moran’s I와 동일하게 공간적 연관성 유형을 HH, LL, HL, LH로 구분할 수 있다. 본 연구에서는 전역적, 국지적 Moran’s I 계산을 위해 GeoDa 프로그램을 활용하였으며, 한 지역이 모서리나 변을 직접 공유하는 지역을 이웃으로 간주하는 Queen 방식으로 공간가중행렬을 산출하였다.
3. 모빌리티 특성 지표
본 연구에서의 모빌리티 특성 지표는 Won et al.(2024)이 개인통행 실태조사(2021) 데이터로 개발한 개인의 통행 특성과 이동 형상을 유형화하는 기준 지표 4가지를 사용하였다. 시공간 통행행태 지표들을 독립적으로 사용하는 대신, 포괄적인 분석과 해석을 가능하게 하는 다차원 모빌리티 지표를 활용하여 수도권 거주자의 모빌리티 패턴을 분석하기 위함이다. 이들 지표는 통행특성(총 통행거리, 평균 통행거리, 총 통행시간, 평균 통행시간), 활동 장소별(집, 직장, 학교, 기타장소) 체류시간 특성, 활동 공간적 특성(활동 타원체의 장축 거리, 편평도, 활동공간의 면적), 모빌리티 복잡성의 12가지 통행행태 특성을 포함한다. 이때 모빌리티 복잡성은 개인 활동 간 전환 빈도, 개별 활동에 할애한 시간을 계량화한 지표로, 활동을 복잡형/단순형으로 구분할 수 있다. 또한, 편평도는 개인이 통행한 위치좌표로 타원체를 생성한 뒤, 이 타원체의 원형성(원에 가까운 정도)에 따라 통행특성을 산출하며 원형/장종(長縱)형으로 구분한다. 12개 모빌리티 지표에 대해 주성분 분석 및 Kaiser 규칙을 적용한 결과, 4가지 주성분(Principal Component; PC), 즉 개인 단위에서 상호독립적인 다차원 모빌리티 지표가 산출되었다.
PC1은 전통적인 통행지표(통행시간, 거리, 활동타원체 장축 거리, 활동공간의 면적) 값과 양의 상관관계가 있어, 장거리·장시간 통행하는 것을 의미한다. PC2는 집에서의 체류시간은 낮고, 기타 장소에서의 체류시간은 높은 특성을 나타낸다. PC3은 모빌리티 복잡성과는 양의 상관관계, 활동 타원체 편평도와는 음의 상관관계가 있어 복잡하고, 원에 가까운 활동공간 특성(이하 복잡원형형)과 관련 있다. PC4는 직장 체류시간과는 강한 양의 상관관계가, 다른 장소(집, 학교, 기타장소)의 체류시간과는 음의 상관관계가 나타난다. 해당 지표의 정의, 주성분 분석 및 각 주성분의 해석은 Won et al.(2024)의 선행연구에 기반하고 있다. 이러한 주성분은 단순한 통행 특성의 요약을 넘어, 교통정책 수립에 유용하게 활용될 수 있다. 일례로 PC1 점수가 높은 지역은 교통망이 비효율적일 가능성이 있으므로, 통근교통 최적화 혹은 자족적 기능 강화와 같은 정책을 계획할 수 있다. 또한, PC4 점수가 높은 지역은 직장 중심의 체류가 집중되어 출퇴근 혼잡 문제가 발생할 수 있으며, 이에 따라 첨두시간대 교통혼잡 완화 방안이나 통근 전용 교통수단 도입에 대한 근거로 활용될 수 있다.
본 연구에서는 이 4가지 지표를 활용하는 것에서 더 나아가 수도권 지역에 대해 다양한 공간분석 기법을 적용하였다. 이때 개인의 통행 일지를 바탕으로 주성분 점수를 산출한 뒤, 이를 행정구역 단위(시군구)로 집계하였다. 즉, 동일 시군구 거주자의 주성분 점수를 평균하여 해당 시군구의 대푯값으로 공간분석에 활용하였다.
수도권 거주자 모빌리티의 탐색적 공간분석 결과
1. 모빌리티 주성분 지표 간 상관분석
공간적 자기상관 분석에 앞서, 시군구별로 집계된 주성분 점수 사이의 상관성을 파악하였다. 국지적 이변량 Moran’s I 자체가 두 변수 사이에 상관관계가 존재한다는 것을 입증해주지는 않기 때문이다(Kim, 2023). Figure 1은 각 시군구의 평균 주성분 점수 분포를 통해 산출된 상관계수와 회귀선을 나타낸다.
장시간·장거리 통행 지역(PC1)과 집 체류시간이 짧은 지역(PC2)의 상관계수는 0.36으로 변수 중 가장 강한 양의 상관관계가 나타났다. 이러한 지역은 도심이나 상업 밀집 지역처럼 거주자가 활발히 활동하며 통행이 빈번한 지역일 수도 있고, 도심에서의 활동을 위해 장거리 통근·통학이 필요한 외곽 지역일 수도 있다. 또한 대중교통 노선이 충분히 발달하지 않아 목적지까지 통행에 오랜 시간이 소요되거나, 지역 내 생활편의시설이 부족해 장거리 통행이 요구되는 지역일 가능성도 있다. 한편 단시간·단거리 통행 특성을 보이는 지역은 상대적으로 집에서의 체류시간이 긴 경향을 보인다. 이러한 지역은 고령화 지역과 같이 통행 빈도가 낮거나, 직장 및 생활편의시설이 주거지 인근에 밀집되어 있어 집 중심의 생활이 가능한 도심지역으로 판단된다.
집 체류시간이 짧은 지역(PC2)과 직장 체류시간이 긴 지역(PC4)의 상관계수 또한 0.36으로, 상대적으로 강한 양의 상관관계가 나타났다. 이러한 지역은 경제활동 인구 비율이 높아 직장 중심의 활동과 통행이 활발하게 이루어지는 지역으로 판단된다. 반면, 집 체류시간이 긴 지역은 직장 체류시간이 짧은 경향을 보이는데, 이는 학생, 은퇴자 등 비경제활동 인구 비율이 높아 집 중심의 생활 패턴을 가지는 지역으로 판단된다.
집 체류시간이 짧은 지역(PC2)과 활동패턴이 복잡원형형인 지역(PC3)의 상관계수는 0.34로 나타났다. 이러한 지역은 다양한 목적지로의 접근성이 높고, 가까운 거리에서 여러 외부 활동을 수행할 수 있는 도심지역일 가능성이 크다. 반대로, 단순장종(長縱)형의 활동 패턴을 보이는 지역은 집 체류시간이 긴 경향을 나타냈는데, 이는 단순한 이동 패턴을 보이는 정주형 교외 지역으로 해석된다.
하지만 모빌리티 지표 간 상관분석은 모든 시군구의 주성분 값을 독립적인 관측치로 간주하고, 각 값의 관계를 수치로 파악하여 패턴을 요약하는데 그쳤다. 또한 모든 지표 간의 관계에서 약한 양, 음의 상관성만 나타났으며, 상대적으로 상관성이 높게 나온 주성분 또한 수도권 내의 공간 분포나 집중 정도는 파악할 수 없었다. 이에 공간적 자기상관 분석 방법을 통하여 공간적 위치와 인접성을 고려하고자 하였다.
2. 전역적 Moran’s I (Global Moran’s I)
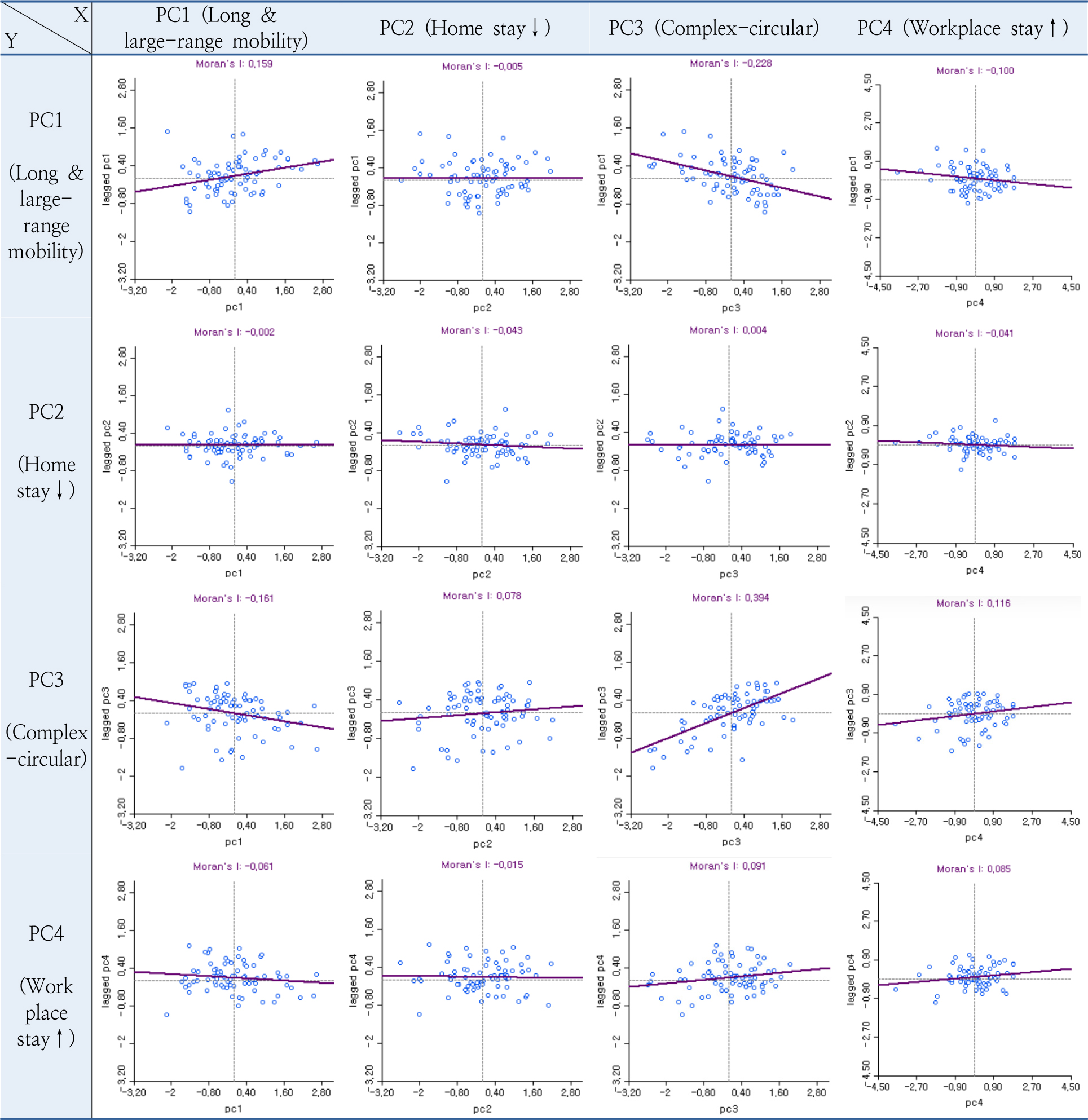
공간적 자기상관 분석 방법은 각 통행행태 특성이 수도권 내에서 공간적 자기상관을 갖는지 통계적 검증을 통해 판단하는 방법이다. 다양한 공간적 자기상관 방법 중 먼저 모빌리티 주성분 지표 간 상관분석의 한계를 극복하고, 수도권 시군구 간 공간적 자기상관을 파악하고자 전역적 Moran’s I를 활용하였다. Figure 2에서 대각선은 일변량 Moran’s I로, 동일한 변수 에 대해 지역 와 이웃한 지역 의 공간적 자기상관 정도를 Moran’s I로 나타낸다. Figure 2 대각선의 위쪽, 아래쪽은 이변량 Moran’s I로, 지역 의 변수 와 이웃한 지역 의 변수 을 고려하여 산출한 값이다.
일변량 Moran’s I 분석 결과, PC1과 PC3에서 각각 Moran’s I가 0.159, 0.394로 나타나 양의 공간적 자기상관을 보였다. 이는 수도권에서 많은 통행시간, 긴 통행거리, 큰 활동공간 면적을 가진 사람들끼리(PC1), 활동 통행패턴이 복잡원형형인 사람들끼리(PC3) 공간상에서 군집한 것을 의미한다.
이변량 Moran’s I 분석 결과, PC1-PC3, PC3-PC1의 Moran’s I가 각각 –0.161, –0.228로 나타나 약한 음의 공간적 자기상관을 보였다. PC1-PC3의 자기상관 관계를 해석하면 장거리·장시간 통행자의 주변에 활동통행 패턴이 단순장종형인 사람들이 모여있음을 의미한다. PC3-PC1 또한 음의 공간적 자기상관으로 나타나, 역의 관계(활동통행 패턴이 복잡원형형인 지역 거주자 주변에 단거리·단시간 통행하는 사람들이 모여있음)도 성립함을 알 수 있다. 이를 종합하면 수도권 내에서는 두 가지 클러스터가 두드러지는데, 한 클러스터는 장거리·장시간 통행을 하며, 활동통행 패턴이 단순장종형으로 나타난다. 또 다른 클러스터는 단거리·단시간 통행을 하며, 활동통행 패턴이 복잡원형형으로 나타나고 있었다. 이와 같이 Moran’s I는 수도권 전역의 공간적 자기상관 정도를 하나의 값으로 요약하기에 현상을 직관적으로 파악 가능하다는 장점이 있으나, 각 클러스터의 지리적 분포는 알 수 없다는 단점도 지니고 있다.
한편 Moran’s I 결과를 상관분석 결과와 비교하면, 상관관계 정도는 크지만 Moran’s I 값은 낮은 변수 간 조합이 존재함을 알 수 있다. 일례로 PC1-PC2는 수도권 전체 지역별 평균값이 상대적으로 강한 양의 상관관계를 보여, 장시간·장거리 통행을 할수록(PC1) 집에 적게 머무는 경향(PC2)이 있음을 확인했다. 그러나 Moran’s I 값이 매우 낮게 나타나 이러한 패턴이 지역별로 인접한 것이 아니라, 여러 지역에 분산되어 있음을 알 수 있다. 이는 서로 다른 공간적 특성(외곽 지역의 장거리 통행자, 도심의 장시간 활동-통행자, 대중교통 인프라 부족 지역민, 고령화 지역민 등)이 수도권 내에 산재하여 분포하는 것으로 판단된다.
반대로, 상관관계 정도는 작지만 Moran’s I 값은 상대적으로 큰 변수 간 조합도 존재한다. PC1-PC3는 수도권 전체 범위에서는 상관관계가 거의 나타나지 않았으나, Moran’s I 값은 −0.161로 나타나 장시간·장거리 통행하는 지역(PC1) 주변에 단순장종형의 모빌리티 특성을 가진 개인(PC3)이 공간적으로 인접하였음을 알 수 있다. 즉, 수도권 내에서 도심, 외곽과 같은 지역 유형에 따라 모빌리티 패턴이 공간적으로 구분되어 나타나고 있었다. 이러한 결과는 단순히 변수 집계값의 상관관계를 보는 것만으로는 파악할 수 없는 시설 분포, 지역 구조 등 다양한 공간적 특성이 결합되어 형성된 모빌리티 패턴으로 판단된다.
3. 국지적 Moran’s I (Local Moran’s I)
전역적 공간 자기상관 방법은 공간적 클러스터 혹은 이례지역의 지리적 분포를 알 수 없다는 한계가 있다. 즉, 전역적 Moran’s I는 전체 지역을 하나의 값으로 요약하기에 국지적 수준에서 유의미한 군집성을 확인하지 못할 가능성이 있다. 이에 국지적 공간 자기상관 분석 방법(LISA) 중 국지적 Moran’s I를 추가로 활용하여 개별 지역 단위의 공간적 자기상관을 분석하고, 수도권 시군구 단위의 공간 클러스터 및 이례지역을 판별하고자 하였다.
Figure 3에서 대각선은 국지적 일변량 Moran’s I 분석 결과로, 동일한 하나의 변수 에 대해 지역 와 인접한 지역 의 공간적 자기상관을 분석하여 특정 지역의 군집성을 파악하는 방법이다. Moran’s I가 가장 높게 나온 PC3(활동통행 패턴이 복잡원형형)의 국지적 일변량 Moran’s I 분석 결과, 수도권 중심부(서울 서대문구, 성북구, 동대문구, 중구, 성동구, 광진구, 용산구, 강남구, 동작구, 영등포구)가 H-H로 나와 이들 지역 및 인접지역 거주자는 활동통행 패턴이 복잡원형형임을 알 수 있다. 반대로 수도권 일부 외곽지역(경기 연천군, 포천시, 동두천시, 양주시, 처인구, 이천시, 안성시, 평택시)은 L-L로 나타나 이들 지역 및 인접지역 거주자는 활동통행 패턴이 단순장종형으로 나타남을 알 수 있다. 한편 경기 오산시는 H-L 유형으로 해당 지역 주민은 모빌리티 특성이 복잡원형형이지만, 주변 지역 거주자는 단순장종형 패턴으로 나타났다. 이는 오산시가 경부고속도로, 수도권 지하철 1호선, 국가철도 등 주요 교통망을 이용해 수도권 중심부에서 일정 거리 떨어져 있음에도 불구하고 통행이 활발하게 일어난다는 점을 보여준다. 반면 오산시 인접 지역은 활동 기회가 풍부한 수도권 중심부와의 거리가 멀고, 교통인프라 또한 상대적으로 미흡하여 단순한 통행이 주를 이루는 것으로 판단된다. 이러한 결과는 지역 간 교통 접근성 격차가 활동통행 패턴의 복잡성에 영향을 미칠 수 있음을 시사한다.
Moran’s I가 두 번째로 높게 나온 PC1(장거리·장시간 통행)의 국지적 일변량 Moran’s I 결과는 다음과 같다. 서울 중심부(동대문구, 중랑구, 광진구, 성동구, 중구, 용산구)에서 L-L로 나와 이들과 주변 지역의 거주자는 단시간·단거리 통행을 하며, 활동공간이 작은 것으로 나타났다. 이는 서울 중심부에 다양한 일자리, 상업시설이 밀집해 있어, 통행 목적지가 가까운 도보권 또는 근거리 대중교통권에 집중된 결과로 해석할 수 있다. 반대로 경기도 일부 지역(광주시, 포천시, 동두천시, 양주시, 의정부시, 김포시)에서는 H-H로 분류되어 이들과 주변 지역 거주자는 장시간·장거리로 통행하며, 활동공간 범위가 넓게 나타났다. 이는 수도권 중심부에서의 활동을 위해 긴 통행시간을 감수하고 이동하는 구조로 해석된다. 실제로 김포시는 2022년 기준, 수도권 내 평균 통근·통학시간이 세 번째(41.9분)로 길어 장거리 통행 부담이 높은 지역적 특성을 확인할 수 있다(Won, 2022). 한편 파주시, 가평군은 L-H 지역으로 이들 지역은 단시간·단거리 통행을 하나, 주변 지역은 장시간·장거리 통행을 하는 공간적 이례지역으로 나타났다. 파주시는 운정신도시를 포함한 남부 지역을 중심으로 내부 생활권이 형성되어 있으며, 가평은 관광 중심의 비도시권 지역으로 고용이나 교육 등 외부 중심의 일상 통행보다는 지역 내 생활 및 관광 목적의 단거리 이동이 주를 이루는 것으로 판단된다.
Figure 3에서 대각선의 위, 아래 그림은 국지적 이변량 Moran’s I 분석 결과로, 지역 의 변수 와 인근 지역 의 변수 에 대한 공간적 자기상관을 분석한 방법이다. 즉, 유사한 위치에서 두 변수 사이의 공간적 의존성을 파악할 수 있다(Cho and Lee, 2017). 또한, 국지적 일변량 Moran’s I에서는 각 모빌리티 주성분 지표의 결과를 개별적으로 판단했었다면, 국지적 이변량 Moran’s I에서는 더 다양한 통행행태 특성을 종합적으로 설명 가능하다. Moran’s I 값이 상대적으로 크게 나온 PC1(장거리·장시간 통행)-PC3(복잡원형형)에서는 서울 중심부(서대문구, 성북구, 영등포구, 동작구, 용산구, 중구, 성동구, 동대문구, 광진구, 강남구)가 L-H로 나타나 이 지역의 거주자는 단거리·단시간 통행 특성을 가지며, 인접 지역 거주자의 활동통행 패턴은 복잡원형형으로 나타났다. 이는 일자리와 기능이 밀집된 서울 중심부 거주자는 생활권 내에서 다목적 활동을 수행함을 의미한다. 반면 경기 외곽, 특히 북부 지역(연천군, 동두천시, 포천시, 양주시, 처인구)은 H-L로 나타나 해당 지역 거주자는 장거리·장시간 통행하고, 인접 지역 거주자의 활동통행 패턴은 단순장종형인 것으로 나타났다. 이는 이 지역주민들이 교육, 고용, 의료 등 일상적 기능의 수행을 위해 수도권 중심부로의 장거리 통행이 불가피하며, 장시간 통행에 따른 시간 제약으로 인해 통근·통학 등 정형화된 목적 외의 활동은 제한되는 것으로 판단된다. 한편 경기도 남부의 일부 지역(이천시, 평택시, 안성시)은 L-L 유형으로 나타나 해당 지역 거주자는 단시간·단거리로 통행하며, 인접 지역 거주자의 활동통행 패턴은 단순장종형임을 알 수 있다. 이는 L-L 유형으로 나타난 지역의 교통 접근성이 상대적으로 낮거나, 외부로부터의 통행 유인이 충분히 작용하지 않는 특성에 기인한 것으로 해석할 수 있다.
PC3(복잡원형형)-PC1(장거리·장시간 통행)의 국지적 이변량 Moran’s I 분석 결과, 서울의 중심부(용산구, 중구, 성동구, 동대문구, 중랑구, 광진구)는 H-L로 나타나 이 지역 거주자는 복잡원형형의 활동통행 패턴을, 인접 지역 거주자는 단거리·단시간 통행 특성을 가지는 것으로 나타났다. 반면 경기 북부 지역(김포시, 파주시, 양주시, 동두천시, 포천시, 가평군)은 L-H로 나타나 해당 지역 거주자는 단순장종형의 활동통행 패턴을, 인접 지역 거주자는 장거리·장시간 통행 특성을 가지며, 이는 PC1-PC3으로 변수를 설정했을 때와 유사한 공간적 자기상관 양상으로 나타났다. 이외에 PC3-PC1 분석 시에는 서울과 가까운 경기 지역(의정부시, 수지구, 광주시)이 H-H 유형, 즉 해당 지역 거주자는 복잡원형형의 활동통행 패턴, 인접 지역 거주자는 장거리·장시간 통행하는 것으로 나타나 중심지 근접성과 사회·경제적 요인이 함께 작용한 것으로 보인다.
정리하자면 수도권 지역 중에서도 서울이나 그 인근에 거주하는 사람은 통행 비용에 상관없이 수도권 중심부의 다양한 활동기회를 위해 활발히 통행한다. 경기 외곽 거주자 또한 수도권 중심부의 유인력이 작용하는 것으로 보인다. 하지만 수도권 외곽에서 중심지로의 통행은 거리, 시간 등 통행 비용이 더 많이 소요되기 때문에 타지역으로의 통행 빈도는 감소하며, 전반적인 통행 복잡성 또한 낮은 경향이 있다.
또한 국지적 이변량 Moran’s I는 , 변수의 순서에 따라 그 결과가 다르게 나타난다. PC1-PC3과 PC3-PC1의 결과를 비교해보면, 전자에서 경기도 남부가 L-L, H-L로 나타난 것과 다르게, 후자에서 경기도 남부는 공간적 패턴이 통계적으로 유의하지 않게 나타났다. 이는 PC1과 PC3 간 공간적 상호작용은 비대칭적(일방향적 공간 관계)이며, 이는 이동성과 활동통행 패턴 사이의 관계가 단순한 직선적 대응이 아닌 복합적인 공간구조를 가진다는 것을 시사한다.
결론
본 연구는 공간통계분석 방법을 탐색적으로 적용하여 하나의 대도시권 내에서도 다양하게 나타나는 수도권 거주자의 모빌리티 행태 및 공간적 분포 경향성을 파악하였다. 먼저 다차원 모빌리티 특성 지표 간 상관분석을 통해 복잡원형형, 단순장종형과 같은 활동통행 패턴이 주거지 체류시간에 유의미한 영향을 미치며, 이는 다시 직장 체류시간과의 상호보완적 관계를 갖는 것으로 나타났다. 이러한 모빌리티 특성은 공간통계기법 중 전역적 Moran’s I 분석을 통해 수도권 내에 두 가지 클러스터가 두드러짐을 확인하였는데, 장거리·장시간 통행을 하며 활동통행 패턴이 단순장종형인 클러스터와 단시간·단거리 통행을 하며 활동통행 패턴이 복잡원형형인 클러스터가 그것이다. 이후 국지적 Moran’s I을 통해 두 가지 클러스터는 각각 경기도 북부·남부 지역 거주자, 서울 중심부 거주자의 특성임을 확인하였다. 또한, 수도권 중심부의 유인력이 이와 가까운 경기 지역(의정부시, 수지구, 광주시 등)에도 작용하고 있음을 확인했다. 이러한 분석 결과는 지역 간 활동통행 패턴의 차이가 교통 접근성, 지역 인프라 수준과 밀접하게 연관되어 있으며, 향후 지역 맞춤형 도시계획이나 교통시설 확충 시 지역별 특성에 따라 차별화된 정책 개입이 필요함을 시사한다. 예를 들어, 경기도 북부·남부 외곽지역은 장거리 통행 수요에 대응하기 위한 대중교통 연계성 강화, 광역버스·철도망 확충 등 중장기적인 교통 접근성 제고가 필요하다. 또한 수도권 중심부의 영향권에 있는 일부 경기 지역은 중심지 수요에 대응하면서도, 인접 지역과의 기능적 연계를 고려한 생활권 단위의 교통체계 정비가 필요할 것이다.
본 연구의 의의는 다음과 같다. 첫째, 모빌리티 및 공간 특성 분석 분야에서 일변량, 이변량 공간통계 분석 방법을 적용하였다는 점이다. 기존 수도권 거주자의 통행특성 분석 연구에서는 공간적 자기상관성 분석 시에 주로 일변량 공간통계기법에 의존하였으며(Chea and Shin, 2015; Kim and An, 2018; Won et al., 2023), 이는 공간 분포 파악에 그쳐 서로 다른 변수 간의 공간적 연관성까지 분석하지 못한다는 한계가 있다. 반면, 이변량 공간통계분석 방법은 두 변수 간의 공간적 상호작용을 파악할 수 있어 노인과 유아의 공공서비스, 의료 접근성부터 관광, 대기오염 노출 위험 측정 등에 이르는 분야까지 점차 활용이 확대되고 있다(Gutiérrez et al., 2017; Aguiar et al., 2020; Jin et al., 2022; Shan et al., 2022; Jeon et al., 2024; Kim, 2024). 그러나 이들 연구 역시 대부분 특정 정책 분야나 인구집단에 국한되어, 일상적 모빌리티 데이터를 활용한 공간상호작용 분석에서는 적용된 바가 거의 없다. 이에 본 연구는 모빌리티 분석 분야에 일변량 및 이변량 공간통계 분석을 수행함으로써, 개별 통행 특성뿐 아니라 서로 다른 통행 특성 간의 공간적 연결 구조와 상호작용까지 규명하였다. 이는 향후 교통·공간 계획 수립 시 실질적인 의사결정 근거로 활용될 수 있을 것으로 사료된다.
둘째, 본 연구는 위치정보 기반의 다차원 모빌리티 지표를 활용하여 기존 모빌리티 특성 연구의 한계를 극복하고자 하였다. 전통적인 수도권 거주자의 통행 분석 연구(Jin et al., 2012; Choo et al., 2013; Park and Woo, 2022; Kim et al., 2023)에서는 통행량, 통행시간 등의 집계적, 정태적 지표가 주로 활용되었다. 이러한 접근은 통행 규모나 경향을 파악하는 데 유용하나, 개인 단위의 미시적, 동태적인 특성 분석에는 한계가 있다. 이에 본 연구에서는 개인의 통행패턴을 정밀하게 분석하는 좌표 기반의 정량적 모빌리티 지표를 사용하였다. 나아가 단일 변수 중심의 분석을 넘어 다차원적 모빌리티 지표를 활용함으로써 복합적인 통행 특성의 공간적 군집성과 주변 지역과의 공간적 관계를 파악할 수 있도록 분석을 확장하였다. 이를 통해 활동통행 행태를 구성하는 다양한 요소 간의 상호작용 및 지역 간 이질성에 대한 해석이 가능해졌으며, 이는 기존 분석틀이 제공하지 못했던 통합적인 해석 가능성을 제시하였다.
하지만 본 연구는 주중 하루, 일부 표본을 대상으로 수집된 개인통행 실태조사 데이터를 기반으로 분석하였기에 장기적인 모빌리티 패턴의 변화를 반영하기에는 한계가 있다. 이에 향후 연구에서는 장기간 축적된 통행 및 활동에 대한 데이터를 활용하여 분석할 필요가 있다. 또한, 분석 결과에 따르면 서울 도심뿐만 아니라 도심에서 떨어진 일부 지역에서도 수도권 중심부의 유인력이 작용하고 있었다. 하지만 이러한 모빌리티 특성이 일자리, 의료, 교육 등 어떠한 활동기회 요인에 의해 유발되었는지에 대한 정량적인 분석은 수행되지 않았다. 따라서 향후 연구에서는 정책·경제·사회적 요인을 포괄하는 활동기회 변수와의 통합적 분석을 통해, 수도권 내 공간구조와 활동 분산·집중의 인과적 관계를 명확히 규명하는 과정이 수반되어야 할 것이다.





