서론
선행연구 고찰
1. 교통기본도를 이용한 교통상태 구분
2. 교통량 누적 그래프를 이용한 교통상태 구분
3. 신호주파수를 이용한 교통상태 구분
4. 선행연구와의 차별성
연구방법론
1. 베이지안 접근법(Bayesian approach)을 이용한 TPA
2. TPA를 통한 실시간 교통량 변화 검지
방법론 적용 및 분석
1. 분석구간 및 자료
2. TPA 분석결과
3. TPA를 통한 실시간 교통량 변화 검지 분석결과
4. TP지속시간 결정에 대한 고찰
결론
1. 결론
2. 향후 연구과제
4. 교통 상충 분석
서론
연속교통류 운영 및 설계에서는 최대통과교통류율에 따른 교통류 상태변화 분석이 중요하다. 최대통과교통류율은 연속교통류 운영 상태를 평가함에 있어 기준이 되고 있으며, 병목현상(bottleneck phenomenon)과 같은 지·정체 발생시 최대통과교통류율이 급격히 감소하게 된다. 이러한 병목현상으로 인한 교통정체는 상류부로 전이되어 해당 도로구간에서 운전자들의 복잡한 차선변경과 분·합류 등의 접근 행태를 유발시키는 악영향을 미친다. 최근 이러한 반복적인 교통 혼잡으로 인하여 막대한 사회·경제적 비용이 발생하고 있으며, 이는 교통류 상태 변화에 대한 적절한 대응이 이루어지지 못해서 발생하고 있다. 하지만 실시간으로 변화되는 교통량을 검지하여 교통운영자가 사전에 교통흐름을 파악할 경우 가변차로 및 램프미터링(ramp-metering) 등을 활용하여 교통정체를 최소화시키는 등의 효율적인 교통운영관리가 가능하다. 특히 행사 및 복합이벤트로 인한 정체 발생시에는 과도한 대기행렬과 불규칙적인 가·감속 등의 속도변화가 발생하므로 실시간 교통량 변화 검지를 통한 사전적 대처가 필수적이다.
혼잡시 교통류 상태구분과 관련된 연구는 크게 교통기본도(fundamental diagram), 교통량 누적 그래프(cumulative curve), 그리고 신호주파수(signal frequency) 변환 방법 등으로 나눌 수 있다. 교통기본도 방법의 경우 교통량-밀도 영역에서 비혼잡에서 혼잡으로 전이되는 시점을 판단하는 것으로 용량분석 등의 전반적인 교통상황을 파악하는데 적합하지만 실시간으로 교통류 변화를 검지하는데 한계를 가진다. 교통량 누적 그래프 방법의 경우 oblique cumulative curve를 활용하여 기존 누적그래프와의 차이에 따른 변화곡선을 이용하는 것으로 시각적으로 명확히 변화되는 시점을 확인할 수 있어 다양한 연구들에서 활용되었다. 하지만 지점 및 시간에 따라 다른 기본 비율(background rate)의 적용이 필요하여 교통류 상태변화에 대한 명확한 근거를 제공하지 못하는 단점을 가진다. 마지막으로 신호주파수 변환 방법은 시계열(time-series) 교통자료를 주파수 영역으로 변환하여 교통류 상태 변화를 검지하는 것으로 새로운 주파수 영역의 신호처리 기법 적용을 통해서 교통류 상태변화에 적용 가능성을 보여주었다. 하지만 고정된 영역에 따른 주파수와 시간영역의 분석으로 인해 정확한 교통상태를 파악하는데 어려움을 가진다.
이에 본 연구에서는 교통운영 및 설계 등의 다양한 연구를 수행하는 데 있어 가장 중요한 실시간 교통량 변화 검지 방법론에 대한 연구를 실시한다. 이는 혼잡교통류 운영에 있어 중요한 요인으로 실시간 교통량 변화 검지를 통해서 효율적 교통운영관리를 위한 사전적 대처가 가능하다. 이에 본 연구에서는 통계적 기법의 일환인 터닝포인트 분석(Turning Point Analysis, 이하 TPA)을 적용하여 교통류 상태구분을 실시한다(Kwon et al., 2014). 이를 위하여 먼저 다양한 기존 교통류 상태구분에 대한 선행연구들의 검토를 통하여 TPA 방법의 유용성을 검토하고 이에 대한 적용가능성을 분석하였다. 이어서 도시고속도로 레이더검지기 자료를 이용하여 변화되는 교통류 상태(changing traffic states)를 식별하였으며, 실제 범용 가능한 실시간 교통량 검지 방법론에 대한 유용성을 검증하였다. 마지막으로 결론에서는 본 연구의 성과 및 한계, 그리고 향후 연구방향을 도출한다.
선행연구 고찰
1. 교통기본도를 이용한 교통상태 구분
교통류 상태구분에 대한 초기연구는 지점검지기에서 수집되는 교통모수인 교통량, 속도, 그리고 밀도에 기반한 교통기본도를 활용하여 정체 및 교통류 상태변화를 식별하였다. Edie(1961) 연구에서는 교통기본도의 혼잡 및 비혼잡 영역으로 구분되는 것을 실제 교통자료를 통해서 증명하였다. 이는 교통기본도의 혼잡 및 비혼잡 영역이 불연속(discontinuity)적으로 구분되는 것으로 서로 다른 밀도 영역을 점유하는 것을 의미한다. 이어서 다양한 연구들에서 교통기본도를 활용하여 균형(equilibrium) 및 불균형(nonequilibrium) 상태 구분을 실시하였다(Drake et al., 1967; May et al., 1967; Ceder, 1976, Munoz 2003). 하지만 교통기본도를 통한 교통상태 구분의 경우 해당 도로구간의 전반적인 교통상황을 파악하는데 적합하지만, 실시간으로 교통류 변화를 검지하는데 한계를 가진다. 추가적으로 지점검지기에서 수집되는 시계열(time-series) 교통모수의 단순 변곡점을 기준으로 교통류 상태변화를 판단하는 방법 등이 있다. 하지만 이는 혼잡시간 검지시 변곡점의 판단 및 시공도의 정체시점 판단에 있어 연구자의 주관적인 요인으로 인해 정확한 교통상태를 파악하는데 어려움을 가진다.
PeMS(2008) 및 PORTAL(2009)의 연구에서는 시공간 기반(time-space plane) 속도맵(speed contour)을 활용하여 교통류 상태를 파악하였다. 주어진 도로구간내의 지점검지기 속도자료를 활용하여 속도범위에 따라 교통상태를 표현하였으며, 이는 직관적으로 교통상태를 파악하는데 용이한 장점을 가진다. 하지만 지점검지기 사이의 교통상태는 보간법을 통해서 추정되는 것으로 정확한 교통상태를 파악하는데 어려움을 가진다.
2. 교통량 누적 그래프를 이용한 교통상태 구분
기존의 교통기본도를 통한 교통류 상태구분 방법의 한계를 극복하고자 시각적으로 명확히 구분이 가능한 방법이 제안되었다. Cassidy et al.(1999)의 연구에서는 교통량 누적 그래프의 직관적인 접근법의 한계를 극복하고자 oblique cumulative curve를 활용하여 교통류 상태를 구분하였다. Oblique cumulative curve는 집계간격의 누적교통량에서 집계간격의 기본 비율과의 차이에 따른 변화곡선을 말하는 것으로 교통량이 변화되는 시점을 oblique curve를 통해서 표현한다. 이는 시각적으로 명확히 변화되는 시점을 확인할 수 있어 다양한 연구들에서 활용되었다. 하지만 시각적으로 교통량 변화시점을 표현하기 위해서 지점 및 시간에 따라 다른 기본 비율의 적용이 필요하여 교통류 상태변화에 대한 명확한 근거를 제공하지 못하는 단점을 가진다.
Mauch et al.(2002) 및 Ahn et al.(2007)의 연구에서는 교통류 상태 구분시 지점검지기에서 수집되는 시계열의 교통량 및 속도자료와 moving average 곡선과의 차이를 통해서 식별하였다. 해당 도로구간의 지점검지기 위치에 따른 편차곡선(deviation curve)을 통해서 교통류 상태를 구분하였다. 이러한 편차곡선을 활용하여 연속적인 도로구간에서 혼잡시 발생하는 traffic oscillation을 검지하고 특징을 도출하였다. 하지만 편차곡선 또한 시각적 판단으로 인해 정확한 교통상태를 파악하는데 어려움을 가진다.
3. 신호주파수를 이용한 교통상태 구분
기존의 oblique cumulative curve의 한계를 극복하고자 새로운 주파수 영역의 신호처리 기법을 활용하여 교통류 상태 구분을 실시하였다. Li et al.(2010) 연구에서는 Short-Time Fourier Transform(STFT) 방법을 활용하여 시계열(time-series) 교통자료를 주파수 영역으로 변환하여 교통류 상태 변화를 검지하였다. 특히 혼잡시 발생하는 traffic oscillation을 지점검지기 및 차량궤적(vehicle trajectory) 자료에서 각각 추출하여 특징을 정량화 하였다. 이는 새로운 주파수 영역의 신호처리 기법 적용을 통해서 교통류 상태변화에 적용 가능성을 보여주었지만, 고정된 영역에 따른 주파수와 시간영역의 분석으로 인해 정확한 교통상태를 파악하는데 어려움을 가진다.
4. 선행연구와의 차별성
선행연구검토에서 확인할 수 있듯이 혼잡시 교통류 상태구분을 위한 다양한 연구가 진행되었으나 직관적이고 경험적인 접근법으로 인해 정확한 교통상태를 파악하는데 어려움을 보였다. 특히 oblique cumulative curve를 활용한 교통류 상태구분의 경우 다양한 연구들에서 활용되고 있지만 지점 및 시간에 따라 다른 기본 비율의 적용이 필요하여 임의성을 제거하지 못하는 단점을 보였다. 이에 본 연구에서는 통계적 기법의 일환인 Turning Point Analysis(TPA)를 이용하여 실시간 교통량 변화 검지 방법론을 제안한다. Kwon et al.(2014) 연구에서는 TPA 기법을 활용하여 교통사고와 운전 중 핸드폰 사용 금지법과의 관계를 분석하였다. 캘리포니아주의 2006-2010년 동안의 핸드폰 사용과 관련된 교통사고의 시계열 분석을 통해서 운전 중 핸드폰 사용 금지법의 시행 전·후 효과를 TPA를 이용하여 증명하였다. 이렇듯 TPA를 활용한 시계열 자료의 변화지점 분석 등의 연구가 교통안전 분야에서 수행되었다.
본 연구의 교통운영 분야에 적용될 TPA는 교통류 상태변화 검지에 있어 선행연구들의 직관적이고 경험적인 접근법에 비해 임의성을 배제하고, 확률적 이론을 바탕으로 객관적인 결과를 도출할 수 있는 장점을 가진다. 또한 실시간으로 교통량 변화를 식별할 수 있어 가변차로 및 램프미터링 등의 적용을 통하여 교통정체를 최소화시키는 등의 교통운영관리에 적용이 가능하다. 이를 바탕으로 본 연구에서는 실시간 교통량 변화 검지시 TPA 방법의 유용성을 검토하고, 실제 교통자료에 범용가능성을 분석하고자 한다.
연구방법론
본 연구에서는 TPA를 위해 베이지안 접근법(Bayesian approaches)을 활용한다(Kwon et al., 2014). 도로에서 검지되는 차량도착 분포는 포아송(Poisson) 분포로 가정하며, 교통량 변화 시점인 Turning point(TP)를 추정하는 방법과 이어서 실시간으로 TP를 도출해 가는 방법론을 제안한다.
1. 베이지안 접근법(Bayesian approach)을 이용한 TPA
베이지안 접근법은 주어진 자료에 가장 적합한 분포의 모수 추정이 가능하며, 자료의 양이 적거나 반복이 불가능한 경우에 많이 사용된다. 베이지안 방법에서 사후 확률(posterior) 분포는 사전 확률(prior)과 우도 함수(likelihood function)에 기반하여 도출이 가능하며 Equation(1)과 같다.
(1)
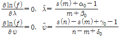
본 연구에서는 차량도착의 TP를 도출하기 위해서 최대 사후 확률 추정법(Maximum a Posteriori Estimation (MAPE))을 적용한다. Equation(2)와 Equation(3)과 같이 차량도착은 포아송 분포를 적용하였으며, Equation(4)와 같이 포아송 분포의 결레사전분포(conjugate prior distribution)인 감마분포(Gamma distribution)를 적용하여 모수의 확률분포를 결정한다(Pewell and Ryzhov, 2012). 포아송 분포의 경우 계수단위가 주어진 시간의 차량대수를 확률변수로 적용한 확률분포 모형으로 본 연구에서는 일정한 시간간격동안 관측되어지는 교통량 자료를 기반으로 분석이 실시된다. 일반적으로 계수기준이 클수록 정규분포에 가깝지만 본 연구에서는 30초 시간간격의 계수기준이 적용됨으로써 차량도착분포를 포아송 분포로 가정한다.
(2)
(3)
(4)
MAPE를 위한 과정은 Equation(5)와 Equation(6)과 같으며, 사전분포의 경우 TP와 관련된 정보부재로 모수들을
로 가정한다.
(5)

(6)

여기서 m을 1에서부터 n까지 변화시켜가며 최대의 로그사후확률(ln(f))을 가지는
값을 TP로 추정하고, 그 시점을 교통량 변화시점으로 산정한다.
2. TPA를 통한 실시간 교통량 변화 검지
본 연구에서는 TPA를 이용하여 실시간 교통량 변화를 검지하기 위한 방법론을 제시한다. Figure 1과 같이 초기 일정시간 동안에 대한 TPA를 통해 TP를 추정한 후 단위시간(Δt)을 늘려가며 TP를 계속해서 추정한다. 이렇게 추정된 TP가 TP지속시간(TP duration time) 동안 변화가 없다면 그 TP를 첫 번째 교통량 변화시점(TP1)으로 결정한다(Figure 1의 step1 참조). 그리고 TP1 이후에 대한 다음 교통량 변화시점을 산정하기 위하여 TP1 이후부터 다시 같은 과정으로 단위시간(Δt)을 늘려가며 TPA를 실시하여 TP지속시간동안 변하지 않는 TP 시점을 다음 교통량 변화시점(TP2)으로 결정한다(Figure 1의 step2는 처음 두 번째 단위시간(Δt’) 동안에는 TP2’로 TP가 추정되나, 그 다음 TP지속시간 동안에는 TP2 시점이 TP로 추정되어 두 번째 교통량 변화시점으로 결정되는 것을 묘사함). 이와 같은 과정을 통해 실시간으로 수집되는 교통량 자료를 바탕으로 교통량 변화 시점을 검지해 나간다.
방법론 적용 및 분석
1. 분석구간 및 자료
본 연구에서 제시한 교통량 변화 시점 검지 방법론 적용을 위하여 도시고속도로 자유로 구간의 레이더검지기 자료를 이용한다. 분석기간은 2012년 10월 11일 목요일 오전 4시 30분부터 오후 12시 30분의 오전 8시간 자료이며, 구간은 Figure 2와 같이 자유로 북로JC∼가양대교(서울방향) 구간의 41번 검지기를 선정하였다. 본 연구의 분석구간은 출·퇴근 시간의 상습 지·정체 구간으로 교통상태 변화가 비교적 명확한 구간이다. 본 연구에서는 차로별 30초 집계자료를 활용하여 분석을 실시한다.
2. TPA 분석결과
본 연구의 방법론 적용에 앞서 시간에 따른 누적교통량을 살펴보면 Figure 3과 같으며, 출근시간인 오전 첨두시(06:00∼08:00)를 포함하고 있다. 이 누적곡선의 기울기로부터 첨두 시간에 교통량이 급격히 증가하는 것을 확인할 수 있으며 약 오전 10시 이후 감소하는 것을 확인할 수 있다.
이에 대한 정량적이고 객관적인 교통량 변화시점을 산정하기 위하여 TPA를 실시하였다. 그 결과, Figure 4와 같이 05:53:30 시점(
)에서 최대 사후확률(점선)을 가지며, 그 시점을 TP(○표)로 추정하였다. 실선으로 표시된 실제 교통량은 TP를 경계로 급격히 증가되는 것을 확인 할 수 있다. 이 TP 전의 평균 차량 도착률(
)은 1.12(대/30초)이며, TP 이후의 평균 차량 도착률(
)은 5.23(대/30초)로 급격히 증가되었음을 알 수 있다. 이를 바탕으로 실제 TP 전·후에 대한 차량도착분포를 추정된 평균 차량 도착률(
,
)을 가지는 포아송 분포와 비교한 결과, Figure 5와 Figure 6과 같이 비교적 일치하는 결과를 보여주었다. 이는 차량 도착에 대한 분포가 포아송 분포를 따르고 있다는 TPA의 가정 사항에 부합함을 보여준다.
Figure 6에서 차량 도착률이 4(대/30초) 이후의 분포에서 여러 개의 추가적인 봉우리가 나타나는 것은 두개 이상의 분포가 섞여 있다는 것을 의미하며, 이는 TP(05:53:30) 이후에도 추가적으로 교통량 변화가 일어나는 것을 나타낸다. 여기에 대한 각 변화 시점은 실시간 교통량 변화 검지 방법을 통해 파악한다.
3. TPA를 통한 실시간 교통량 변화 검지 분석결과
본 연구에서 제시한 실시간 교통량 변화 검지 방법에서 단위시간(Δt)을 5분으로 설정하고, 매 5분마다 TPA를 실시하여 TP지속시간(TP duration time) 동안 추정되는 TP가 일정하다면 그 시점을 교통상태의 변화 시점으로 결정한다. 다시 그 TP 이후부터 매 5분마다 TPA를 통해 다음 교통량 변화 시점을 결정하는 방법으로 실시간으로 수집되는 자료에 대한 분석을 실시한다. 본 연구에서는 TP지속시간에 따른 TP 검지결과를 비교하기 위하여 30분과 1시간 TP지속시간을 모두 적용하여 분석을 각각 실시·비교하였다. 여기서 TP지속시간을 30분과 1시간으로 설정한 이유는 본 연구의 목적 상 교통량 변화를 실시간으로 측정하고자 할 때 교통량 변화 후 최대 1시간 이내로 그 변화를 검지하는 것을 목표로 하였기 때문이다.
Table 1은 TP지속시간을 30분으로 설정하고 실시간 교통량 변화 검지를 위한 분석을 실시한 결과이다. 5분씩 분석구간의 길이를 증가시켜가며 TPA를 통해 추정된 TP가 처음으로 TP지속시간인 30분 동안 일치한 시점이 5:53:30으로 이 시점을 TP1로 한다. 그리고 그 시점부터 다시 5분간 분석구간을 증가시켜가며 TP를 추정한 결과 6:19:30에서 두 번째 TP(TP2)를, 같은 방법으로 7:07:30에서 세 번째 TP(TP3)을 추정한다. Figure 7, Figure 8, Figure 9는 이러한 TP1, TP2, TP3이 추정되는 과정의 최대 사후확률을 보여주고 있다. 이렇게 전체 구간에 대한 분석 결과, Table 2와 같이 총 9개의 TP가 추정되었으며, 각 TP를 경계로 한 구간들의 평균 차량 도착률(
)은 TPA 과정 중에 산정된다. Figure 10은 Table 2를 바탕으로 TP와 평균 차량 도착률(
)를 시간에 따른 5분 이동평균을 통한 실제 차량 도착률과 함께 그린 그래프이다. TP1(5:53:30)에서 평균 차량 도착률이 1.12(대/30초)에서 3.78(대/30초)로 증가한 후, TP2(6:19:30)에서 7.79(대/30초)로 급격히 증가한다. 그러나 7:08:00에서 7:36:00사이에는 다시 평균 차량 도착률이 3.75(대/30초)로 줄었다가, 그 후 7.29(대/30초)로 증가한다. 이렇게 살펴봤을 때, 3개의 첨두시간대(TP2-TP3, TP4-TP5, TP6-TP7)가 약 30분 간격으로 나타남을 그래프에서 확인할 수 있다.
Table 3과 Figure 11은 TP지속시간을 1시간으로 늘렸을 때의 실시간 교통량 변화 검지 분석 결과이다. 총 검지된 TP의 수는 5개로 줄었으며, TP지속시간이 30분일 때와 달리 8:44:00에서 9:11:30사이의 차량 도착률 감소 변화는 검지해내지 못하였다. 반면에 7:36:00부터 약 2시간 30분의 긴 시간을 첨두시간대로 검지하였고, 약 오전 6시부터 교통량이 증가하기 시작하여 약 오전 10시부터 교통량이 감소하는 것으로 나타났다. 이렇게 TP지속시간을 늘렸을 경우 교통량의 변화가 뚜렷한 시점들만을 TP로 추정한다는 것을 확인하였다.
|
Figure 10. 5-minute moving average of traffic flow rates and average traffic flow rates ( |
이처럼 본 연구에서 제시한 TPA를 통한 실시간 교통량 변화 검지 방법론은 실시간으로 수집되는 교통량 자료 분석에 적용 가능하며, 그 결과 또한 교통량의 변화 시점을 잘 반영하고 있음을 확인하였다.
|
Figure 11. 5-minute moving average of traffic flow rates and average traffic flow rates ( |
4. TP지속시간 결정에 대한 고찰
30분과 1시간 TP지속시간에 대한 분석을 비교한 결과, TP지속시간의 설정은 교통량 변화 검지의 민감도를 결정함을 알 수 있다. TP지속시간이 짧을수록 작은 교통량의 변화까지 민감하게 검지를 하는 반면, TP지속시간을 길게 할 경우 뚜렷한 교통량 변화만을 검지하게 된다. 그리고 교통량 변화가 일어나고 그 변화를 검지하는 데까지 걸리는 시간이 TP지속시간임을 고려하면 이 값의 설정은 분석목적에 따라 결정될 필요가 있다. 예를 들어, 약간의 교통량 변화를 빠른 시간 내에 검지하기 위해선 TP지속시간을 짧게 설정하고, 느리지만 좀 더 확연한 교통량 변화만을 검지하기 위해선 TP지속시간을 길게 설정하는 것이 유리하다.
실시간으로 교통량을 검지한다고 했을 경우, 그 실시간의 한계시간을 TP지속시간으로 설정하는 것이 적절할 것으로 판단된다. 만약, 교통량 변화 후 1시간 이내로 그 변화를 검지하고자 했을 경우 TP지속시간을 최대 1시간으로 설정한다.
결론
1. 결론
본 연구에서는 TPA 기법을 활용하여 연속교통류 운영관리에 있어 중요한 실시간 교통량 변화 검지를 실시하였다. 도시고속도로 자유로 구간의 레이더검지기 자료를 바탕으로 분석을 수행하였으며, 차로별 30초 집계자료를 활용하였다. 실시간 교통량 변화 검지를 위해서 단위시간(Δt) 5분마다 TPA를 실시하여 변화시점을 분석하였다. TP지속시간을 30분, 1시간으로 나누어 분석한 결과 전반적으로 동일한 교통량 변화시점을 도출하였지만, 지속시간을 1시간으로 한 경우에는 30분 보다 적은 TP를 추정하였다. 이는 TP지속시간을 늘릴 경우 교통량 변화가 뚜렷한 시점들만을 TP로 추정하기 때문이다. TP지속시간은 분석의 목적에 따라 다르게 설정할 수 있다.
본 연구의 실시간 교통량 변화 검지방법인 TPA는 선행연구들의 직관적이고 경험적인 접근법에 비해 임의성을 배제하고, 확률적 이론을 바탕으로 해당 도로구간의 정량적이고 객관적인 교통량 변화시점을 산정할 수 있는 장점을 가진다. 또한, 일시적인 교통량 변화가 아닌 확률적 개념을 통한 패턴 상의 교통량 변화를 실시간으로 검지함으로써 혼잡교통류 운영을 위한 가변차로 및 램프미터링 등에 활용이 가능하다. 그리고 이를 이용하여 실시간으로 교통량 패턴 변화에 따른 서비스 수준(level of service) 변화를 파악가능하며, 교통기본도와 함께 사용하여 안정류에서 불안정류 상태로 교통류가 변화하는 시점을 검지할 수 있어 교통운영에 그 활용도가 높을 것으로 기대된다.
2. 향후 연구과제
본 연구에서 제시된 TPA 방법론을 하나의 분석 대상 도로 구간에 적용하고 결과를 분석하였다. 이는 분석 대상구간에 한정된 것으로 향후 다양한 연속류 도로에서 수집되는 검지자료 분석을 통해 더욱 심도 있는 검증이 필요하다.








) for 30 minutes TP duration time
)
) (Period) (veh/30sec)
)

-




) separated by turning points for 30 minutes TP duration time
) for 1 hour TP duration time
)
) (Period) (veh/30sec)
) separated by turning points for 1 hour TP duration time 