서론
미끄럼방지포장이란 노면의 미끄럼 저항이 저하된 지역이나 도로의 평면 및 종단 선형이 불량한 구간, 미끄럼사고 다발지역의 교차로, 어린이보호구역, 노인보호구역 등에서 포장면의 마찰 저항력을 높여 차량의 제동거리를 단축하고 이를 통해 교통사고를 예방하거나 감소시키는 기술이다. 최근 도로 포장 분야에서는 혹독한 기후환경에 안정성, 내구성, 내환경성을 동시에 확보할 수 있는 고성능 포장기술에 대한 수요가 증가하고 있으며, 특히 도심지·교량·경사지 등에서 미끄럼방지포장재는 교통사고 예방에 중요한 역할을 담당하고 있다(Cho et al., 2023; Lee et al., 2024).
MMA(Methyl Methacrylate) 수지는 아크릴 수지 계열의 합성 고분자로서 메타크릴산계 단량체의 하나로, PMMA(Polymethyl methacrylate) 모노머로 알려져 있다. MMA 수지는 빠른 경화속도와 뛰어난 기계적 특성을 바탕으로 다양한 산업용 수지 재료의 기초로 이용되고 있으며, 특히 다음과 같은 MMA 수지의 특성으로 노면의 미끄럼방지포장재의 주소재로 적용되고 있다. 우선 MMA 수지의 경화시간은 1시간 이하의 빠른 시간내에 경화가 완료되며, 저온환경에서도 도포·경화가 가능한 구조적 특성을 가지고 있어 –20℃의 환경에서도 용매의 사용없이 도포가 가능하기 때문에 저VOCs 함량 및 환경 친화적 특성을 유지할 수 있다. 또한 높은 내화학성, 내마모성 및 자외선 안정성을 가지고 있어 미끄럼방지포장재에 MMA 수지 적용시 포장면에 지속적으로 노출되는 교통 환경에서도 장기간 성능을 유지할 수 있으며, 특히 아스팔트 및 콘크리트 기층에 대한 부착력이 우수하기 때문에 견고한 포장층을 형성하여 MMA 수지는 미끄럼방지포장체의 구조적 안정성과 내구성에 기여한다(Kim, 2008; Rahman et al., 2024).
한편 지구온난화로 인한 기상이변이 매년 심화되고 있으며, 특히 겨울철 잦은 폭설 및 한파의 영향으로 인해 발생되는 노면의 결빙은 교통사고 발생의 주요 원인 중 하나로 지적되고 있으며, 이는 운전자의 제동 성능 저하 및 차량 제어력 상실로 이어져 사회·경제적 손실을 초래한다. 이에 따라 도로 관리 기관에서는 제설제 살포, 가열식 도로 등 다양한 대책을 시행하고 있으나, 제설제는 고염화물로 인한 환경오염 및 구조물 부식문제를 발생시키며, 가열식 도로는 설치 및 유지관리 비용이 과도하게 발생하는 한계를 가지고 있다. 미끄럼방지포장은 표면의 요철로 인한 미끄럼저항력 특성으로 차량의 제동거리를 단축하기 위한 시설이지만, 겨울철 포장면의 적설 및 결빙 시에는 미끄럼저항력이 다소 저하되는 한계를 갖는다(Cho et al., 2021). 따라서 미끄럼방지포장면의 동절기 사용 안전성을 종합적으로 향상시키기 위해 미끄럼방지포장재는 미끄럼 저항 및 결빙방지 성능을 확보한 복합 성능 미끄럼방지포장재에 관한 연구가 필요하다.
본 연구는 MMA계 수지를 기반으로 한 미끄럼방지포장재의 결빙방지 성능을 확보하기 위해 MMA계 미끄럼방지포장재에 적합한 결빙방지 소재를 선정 및 적용하여 융빙작용, 결빙시간의 지연, 얼음의 부착을 방지하는 결빙방지 성능을 확보하고자 하였다. 결빙방지형 미끄럼방지포장재는 적설 시 용해 및 어는점 강하 특성을 갖는 소재를 적용함으로써 제설효과를 나타낼 수 있으며, 또한 녹은 눈(수분)에 의해 포장층 표면에 결빙방지 소재가 용출되면서 동결점이 강하되어 재결빙을 방지할 수 있다. 단계별 목표는 결빙방지형 미끄럼방지포장재에 적합한 MMA계 수지의 제조, 결빙방지 소재 첨가에 따른 결빙방지 및 기계적 성능 평가이다. 본 연구의 결과는 포괄적으로 도로포창층의 결빙방지 성능 구현의 기초자료로 제시하고자 하며, 겨울철 강설 시 선제적인 제설 및 재결빙 방지 효과를 발현함으로써, 교통사고를 감소시키고 교통안전성을 극대화하는데 기여할 것으로 기대된다.
선행연구
겨울철 도로의 적설·결빙은 노면 마찰력 저하, 제동거리 증가, 차량 조향성 상실 등으로 이어져 교통사고 발생 가능성을 크게 높이는 주요 원인으로 알려져 있다. 이에 따라 기존 연구들은 다양한 결빙방지 및 제설 기법이 교통안전 향상에 미치는 영향을 실증적으로 분석해왔다. 제설제 및 결빙방지제의 신속한 살포는 결빙된 노면의 마찰계수를 단기간에 회복시키는 효과가 있으며, 미국 FHWA와 캐나다 Alberta주 정부 연구에서는 이러한 도로 관리가 겨울철 교통사고를 20~80% 감소시키는 것으로 보고하였다(LRRB, 2009; AT, 2010). 또한 사전 결빙방지 처리는 블랙아이스의 형성을 지연시켜 차량 제동성능 저하 완화에 효과적이며, 미네소타와 콜라라도 등 북미 지역의 연구에서는 결빙방지처리가 적용된 구간에서 사고 발생률이 지속적으로 감소하는 경향을 확인한 바 있다(MN Legislature, 2010; FHWA, 2007). 골재 노출형 또는 표면거칠기 강화를 통한 미끄럼방지형 포장과 같은 마찰력 향상 포장은 결빙 상황에서도 비교적 높은 마찰력을 유지하여 미끄럼·차선이탈 등 사고를 줄이는데 기여하는 것으로 나타났으며(FHWA, 2007), 특히 경사로 및 교차로와 같은 위험구간에서 사고저감 효과가 두드러진 것으로 나타났다(FHWA, 2004). 전기식 가열도로와 같은 능동형 결빙방지 기술은 결빙 발생 자체를 억제함으로써 차량 안정성을 크게 향상시키는 것으로 평가되며, 실제 적용 지역에서는 결빙 관련 사고 발생률이 70% 이상 감소한 사례도 보고되었다(Shi et al., 2018a). 직접적인 결빙방지 대책 외에 노면의 결빙으로 인한 잠재적 사고 발생 가능성을 예측하는 딥러닝 기반의 모델 개발에 관한 연구가 최근에 보고된 바 있으며(Kim et al., 2022), 이와 같이 겨울철 교통사고 발생 피해를 줄이기 위한 수많은 연구가 진행되었다. 결빙방지 대책의 효과가 교통안전에 미치는 영향에 대한 선행연구를 종합하면 기존 선행연구들은 결빙방지 기술이 노면 마찰력 확보, 제동거리 단축, 차량 조향 안정성 유지 등을 통해 교통사고 예방과 교통안전 향상에 직접적인 기여를 한다는 점을 일관되게 제시하고 있으며, 이는 겨울철 도로관리 체계에서 결빙방지 기술의 중요성을 뒷받침하는 근거로 활용할 수 있다.
최근 항공·풍력·태양광 등 혹한의 환경에 노출된 인프라 분야에서 축적된 결빙방지 표면 기술(초소수성, 광열, 열전도도 네트워크, 상변화물질 등)이 도로 포장 분야로 확대되는 추세이다(Cui et al., 2024; He and Guo, 2021). 이에 따라 본 연구는 유기염 결빙방지 소재를 적용한 MMA계 미끄럼방지포장재를 통해 노면의 동결점을 강하시키고 얼음 접착을 저감하며 동시에 미끄럼저항력과 내구성을 확보하고자 한다. 따라서 본 고찰은 유기염으로 구성된 결빙방지 소재의 설계를 뒷받침하는 선행연구를 정리하였다.
전통적인 제설제인 염화칼슘, 염화나트륨의 사용은 부식 및 알칼리-실리카 반응 촉진 등 부정적인 영향이 보고되어 비염화물 유기염계로 대체하려는 연구가 확대되었다(Arowojolu et al., 2025). 유기염계 중 대표적으로 초산칼륨은 낮은 동결점과 높은 수용성, 매우 낮은 부식성으로 공항 활주로에서의 적용 실적이 축적되어 왔으며(Rekuviene et al., 2024), 염화물 대비 구조물 부식 저감 잠재력이 매우 크다. 포름산나트륨, 포름산칼륨은 생분해성, 낮은 부식성, 저온에서의 결빙방지 효율이 보고되어 교량·램프 등 민감 부위 적용이 검토되고 있다. 유기염계의 결빙방지 성능은 열역학적 관점에서 정량적으로 해석될 수 있으며 노면의 기존 결빙층을 완전히 용융하는데 필요한 총 에너지, 즉 필요 용융 열량(Required Melting Energy) 는 다음과 같이 정의된다(Shi et al., 2018b; Gruber et al., 2023).
where, : 용융되어야 할 얼음의 질량(kg),
: 얼음의 비열(약 2,108J/kg·K),
: 얼음의 초기 온도와 녹는점(0℃) 사이의 온도차(K),
: 얼음의 용해 잠열(약 334,000J/kg)
유기염계의 결빙방지 핵심 작용 메커니즘 중 하나는 동결점 강하 현상에 기인하며, 유기염계 결빙방지제가 노면에 도포되면 얼음의 실제 녹는점이 0℃ 이하로 낮아진다. 이는 상기 식에서 값을 감소시킴을 의미한다. 결과적으로, 동일한 양의 얼음을 녹이는데 필요한 에너지 이 저감되어 에너지 효율적인 결빙방지가 가능해진다.
앞서 나열한 유기염계 중 초산칼륨, 포름산나트륨은 염화물계 대비 상대적으로 낮은 부식성과 높은 생분해성으로 공항 및 에너지산업 분야 등에서 활용 사례가 증가했으며, 이러한 대체 추세는 항공·풍력 분야 등에서 결빙방지 표면 연구 흐름과 정합적이다. 유기염과 염화물계의 복합 소재에 대한 연구동향을 살펴보면 유기염은 표면장력과 수소결합 구조를 변화시켜 얼음층과 표면의 계면 에너지와 접착강도를 낮추며, 염화물계 물질 중 염화마그네슘6수화물은 저온에서 수분상태의 지속성이 유지되어 넓은 영하 온도 범위에서 결빙방지 효율, 얼음 접착 저감의 효과를 입증하였다(Li, 2020; Gardeshi et al., 2023). 또한 초소수성 표면 설계 시 표면은 물방울이 구 형태로 맺히고 쉽게 굴러 떨어지는 성질을 가지는데, 표면에 유기염이 더해지면 액적 체류시간이 더욱 단축되어 결빙 전 배출 및 제거가 가능하여 결빙자체가 억제된다(He and Guo, 2021).
유기염계 소재를 도로 포장재(미끄럼방지포장, 아스팔트 등)에 별도의 가공없이 혼입하거나 표층에 직접 적용하는 방식은 초기 결빙방지 성능을 발휘할 수 있지만 포장 구조의 기계적·열적·화학적 안정성과 전주기 성능 지속성에 한계를 나타내는 것으로 보고되고 있는데 핵심 원인은 수용성 유기염의 급속 용출과 공극수의 이동을 유발한 원인으로 평가되었다(Zhang et al., 2021; Jiang et al., 2022). 유기염의 급속 용출로 인한 공극수의 이동은 도포·포설 후 단기간 내 결빙방지 효과가 급격하게 저하되며 이 과정에서 공극 내 수분 재분배를 유도하고 반복 동결융해 시 팽창·수축에 의한 열화를 가속화 한다는 점에서 구조적 열화를 야기한다(Zhang et al., 2021; Jiang et al., 2022).
기존 선행연구를 고찰하면 결빙방지가 가능한 유기염계 소재는 낮은 부식성, 환경친화적, 효과적인 결빙방지 성능을 통해 겨울철 제설 및 결빙방지제로서의 사용 가능성이 충분하여 도로의 안전성을 향상시키는데 기여할 수 있음을 나타낸다. 하지만 본 연구의 목적과 같이 유기염계 소재를 직접 혼입한 미끄럼방지포장재의 사용은 한계가 있는 것으로 평가되었다. 따라서 캡슐화된 유기염계 소재를 미끄럼방지포장재에 적용하여 확산·용출 속도의 제어를 통해 단계적 확산 지배 구조를 구축하고자 하며, 이를 통해 적설 및 강우 등 높은 수분 및 습도 환경에서 급속 용출을 억제, 전주기 결빙방지 성능을 유지하고자 하였다. 또한 캡슐화를 통해 미끄럼방지포장재 바인더의 물성교란을 구조적으로 차단하여 미끄럼방지포장재 설치환경 특성상 반복되는 높은 열화 환경에서도 구조적으로 안정된 내구성능을 확보하고자 하였다.
연구방법
1. 연구재료
1) MMA 수지
본 연구에서는 MMA계 결빙방지형 미끄럼방지포장재의 기계적 성능을 항샹시켜 미끄럼방지포장층 내의 결빙방지소재의 안정적인 성능을 발현하기 위해 고성능 MMA 수지를 제조하였다, MMA(Methyl methacrylate) 단량체를 주성분으로하여 점도, 경화거동 및 기계적 특성을 제어하기 위해 PMMA(Polymethyl methacrylate), BA(Butyl acrylate), 2-HEMA(2-Hydroxyethyl methacrylate)를 MMA 수지에 적용하였으며 각 소재의 특성은 Table 1과 같다.
Table 1.
Physicochemical properties and roles of monomer used in MMA-based binder systems
MMA 단량체는 대표적인 경질 단량체로서 분자량 100.12g·mol-1의 무색 투명한 액체이다. 이 단량체는 이중결합(C=C)과 에스터기를 동시에 가지며, 자유라디칼 중합에 의해 PMMA를 형성한다. PMMA는 높은 투명도(광투과율 >92%), 우수한 기계적 강도, 약 105℃의 Tg(유리전이온도)를 갖는 대표적인 경질 열가소성수지로서 MMA 수지의 제조 시 MMA 단량체와 PMMA를 예비중합(Pre-polymerization)하여 적용한다(이하 MMA라 칭함). 이를 통해 처짐방지 및 균일한 도포가 가능한 작업 점도를 확보하게 되며 수축률의 최소를 통한 균열 및 변형방지, 반응열의 안정화를 시킬 수 있게 된다(Deka et al., 2022; Bakhtiari et al., 2021).
MMA는 고Tg(약 105℃)의 경질 수지를 형성하여 우수한 내마모성과 표면경도를 부여하지만 단독 중합시 취성이 크기때문에 저온 환경에서 균열이나 박리가 발생하기 쉽다. 이에 비해 BA는 Tg가 약 –54℃ 로 매우 낮은 연질 단량체로서 MMA 사슬 사이의 자유부피를 증가시켜 분자운동성을 높이고, 결과적으로 Tg를 낮추어 저온 유연성을 향상시킨다. 일반적으로 MMA/BA의 비율이 증가할수록 Tg는 선형적으로 감소되며 20wt% 이상의 BA가 공중합될 경우 Tg는 약 60~70℃ 수준까지 저하되는 것으로 보고된다(Bakhtiari et al., 2021).
한편 2-HEMA는 메타크릴레이트 구조에 하이드록시기(-OH)를 갖는 친수성 단량체로서 MMA와의 공중합 시 수소결합에 의한 사슬간 상호작용을 형성한다. 이로 인해 2-HEMA의 적용은 단순히 Tg를 변화시키는 것뿐 아니라, 수지의 극성과 계면접착력을 향상시켜, 콘크리트나 무기질 충진재와의 결합력을 증가시키는 효과가 있다. 다만 2-HEMA 함량이 과도할 경우 수분 흡착으로 인한 Tg 저하 및 내수성 감소가 발생할 수 있으므로, 전체 단량체 대비 5~15wh% 수준의 첨가가 적정한 것으로 알려져 있다(Fu et al., 2025).
이와 같이 MMA, BA, 2-HEMA 3성분계 공중합체의 단량체 조성 시 MMA의 비율을 높이면 높은 경도와 내마모성이 확보되고, BA 함량을 증가시키면 저온충격성 및 유연성 개선, 2-HEMA는 이러한 두가지 특성의 균형을 유지하면서 접착성 향상 및 수소결합에 의한 기계적 강도 상승에 기여할 수 있다.
2) 결빙방지 소재
본 연구에 적용된 유기염계 결빙방지 소재 Table 2와 같이 초산칼륨, 포름산나트륨이며, 이는 낮은 부식성 및 환경친화적적 소재로서 염화칼슘 등의 대체재로 주목받고 있다.
Table 2.
Comparison of potassium acetate & sodium formate as deicers
초산칼륨은 흡습성이 우수하고 어는점이 낮아 융빙 및 결빙 억제 효율이 높은 것으로 알려져 있으며, 수분과 접촉 시 강한 이온해리에 의해 빙결면의 녹는점을 강하시켜 신속한 융빙 효과를 발휘한다. 또한 높은 수용해도와 수분 흡착력으로 인해 표면에 액상층을 유지시켜 결빙을 지연시키는 역할을 한다(Ke et al., 2019).
포름산나트륨은 포름산(Formic acid)의 나트륨염으로 우수한 융빙효율과 낮은 부식성을 동시에 가지는 유기염계 결빙방지 소재이며 수용액 상태에서 어는점 강하 효과를 통해 수분의 동결을 억제하며, 결정성 염화물에 비해 금속 부식이 현저히 적고 생분해성이 우수하여 환경부하가 적다. 특히 –10~-20℃의 저온에서도 융빙 반응이 지속되어 저온 환경용 결빙방지 소재로 적합하다(Giebson et al., 2010).
하지만 위의 두가지 물질 중 초산칼륨은 MMA수지계 미끄럼방지포장재에 적용할 경우 잠재적 결빙방지 효과를 부여할 수 있으나, 과량 첨가 시에는 흡습에 따른 가소화(Plasticization)효과로 인해 기계적 강도 저하나 연화 현상이 발생할 수 있다. 포름산나트륨은 약알칼리성 특성으로 인해 산성기 또는 충진재 표면과의 반응 가능성이 있으므로, 함량 최적화를 통해 물성 저하를 방지해야 한다. 또한 두가지 물질 모두 수용성이므로 장기간 수분에 노출되면 용출될 가능성이 크기 때문에 입자와 수지 구조 사이의 계면 공극이 생기게 되고, 이 공극은 응력이 집중되는 지점이 되어 균열 발생의 가능성이 크다.
2. 연구방법
1) MMA 수지 제조
미끄럼방지포장재에 적용하기 위한 MMA계 수지는 우수한 강도와 유연성의 확보를 통해 균열을 억제하여 포장재에 적용 시 우수한 내구성을 발휘할 수 있도록 설계되어야 한다. 따라서 MMA 수지 바인더의 설계 Table 3과 같으며, MMA·BA·2-HEMA의 조성비율에 따른 성능을 평가하여 최적의 비율의 MMA계 수지를 도출하고자 하였다.
Table 3.
Mix design of MMA resin
| Type | Composition ratio (wt%) | ||
| MMA | BA | 2-HEMA | |
| M1 | 80 | 20 | 0 |
| M2 | 70 | 25 | 5 |
| M3 | 60 | 30 | 10 |
| M4 | 50 | 40 | 10 |
2) 결빙방지 소재의 캡슐화
초산칼륨 및 포름산나트륨 유기염계 결빙방지 소재는 흡습성, 수용성의 성질을 갖고 있어 MMA계 미끄럼방지포장재 매트릭스 내부에서 용출 및 수분흡수에 따른 팽창으로 기계적 강도 저하, 장기 내구성 감소 등의 문제를 유발할 가능성이 크다. 특히 고분자 수지가 주체인 미끄럼방지포장재 제조시 염류의 직접 혼입은 수지의 경화반응이나 계면접착에 부정적인 영향을 야기한다.
본 연구에서는 이러한 문제를 해결하기 위해 결빙방지 소재의 Core-shell 구조의 캡슐화를 통해 유기염계 결빙방지 소재의 직접적 수분접촉을 억제하고, 필요 시점에서 서서히 용출되는 제어방출 효과를 부여하여 기계적 강도 유지와 장기 결빙방지 성능의 균형을 확보하고자 하였으며, 캡슐화 방법은 Figure 1과 같다.
유기염 결빙방지 소재의 저장용 핵(Core)은 자연계 제올라이트 중 높은 열안정성과 우수한 흡착성능을 나타내는 모르돈나이트(Mordenite)를 선정하였으며 다공성 및 이온교환 성능을 활용하였다. 초산칼륨과 포름산나트륨 각각의 유기염 용액은 초순수(18MΩ·cm)에 침전없이 완전히 용해되는 수준까지 제조하였으며 초산칼륨은 72wt%, 포름산나트륨은 52wt%의 용해 농도를 나타내었다. 코팅은 MMA 용액(MMA monomer : PMMA = 3 : 1)으로 실시하였으며, 캡슐화된 결빙방지소재의 MMA계 미끄럼방지포장재 내부 구조에서 안정적인 호환을 위한 목적이 있다.
구제척인 캡슐화 방법으로는 모르돈나이트의 내부 기공을 비워 염류의 흡착용량을 최대화하기 위해 350℃에서 3시간 동안 건조 및 탈수하여 내부 및 표면의 흡착수를 제거하고 냉각 후 건조기에 보관하여 전처리를 완료하였으며, 모르돈나이트 부피 3배의 각 유기염 용액을 채워 60분 동안 500rpm으로 교반 후 24시간 동안 기공 내에 용액이 침투될 수 있도록 거치하였다. 유기염 용액 바닥에 침전된 모르돈나이트를 여과하고 60℃에서 12시간 동안 건조하였다. 이후 모르돈나이트에 MMA 용액을 분무하여 코팅층을 형성하였으며 완성된 캡슐형 유기염계 결빙방지 소재는 밀봉 용기에 보관하여 수분흡수 및 응집을 방지하였다.
3) 결빙방지형 미끄럼방지포장재 배합
상기에 서술된 MMA·BA·2-HEMA 3성분의 최적비율 MMA계 수지 도출 후 결빙방지형 미끄럼방지포장재의 배합은 MMA계 수지를 주바인더로 하여 탄산칼슘 및 규사 충진재와 보크사이트 골재를 혼입한 기초 배합에 캡슐화된 결빙방지 소재를 비율별로 혼입하여 배합을 설계하였다. 캡슐화된 결빙방지 소재의 혼입율이 증가하는 만큼 충진재인 탄산칼슘 및 규사를 동일한 비율로 감소시켰으며, 미끄럼저항용으로 적용되는 보크사이트는 캡슐형 결빙방지 소재의 혼입율에 관계없이 미끄럼방지포장재의 총 중량에 일정하게 혼입하였다. 본 연구에 적용된 결빙방지형 미끄럼방지포장재의 배합 설계 및 충진재의 특성은 Tables 4, 5, 6, 7과 같다.
Table 4.
Physical properties of silica sand
| Type | Absorption (%) | Particle size (mm) | Apparent specific gravity (g/㎖) |
| SiO2 | 0.9 | 1.5~0.3 | 1.5 |
Table 5.
Physical properties of calsium carbonate
| Type | Acid insoluble powder (%) |
Moisture (%) |
Ignition loss (%) | Residue on sieve (%) | Apparent specific gravity (g/㎖) |
| CaCO3 | 0.49 | 0.13 | 43.4 | 60mesh : 7.6 | 1.2 |
| 100mesh : 23.6 | |||||
| 200mesh : 42.1 | |||||
| 325mesh : 62.7 |
Table 6.
Physical properties of bauxite
Table 7.
Mixture design of anti-skid pavemant materials
| Type | Composition ratio (wt%) | Remark1) | ||||
| MMA rejin | Calsium carbonate | Silica sand | Bauxite | Capsule-type deicing materials | ||
| PL | 24.4 | 24.4 | 36.6 | 14.6 | - | (Plain) |
| S1-1 | 24.4 | 22.9 | 35.1 | 14.6 | 3 | (KAc) |
| S1-2 | 24.4 | 21.9 | 34.1 | 14.6 | 5 | |
| S1-3 | 24.4 | 20.9 | 33.1 | 14.6 | 7 | |
| S1-4 | 24.4 | 19.4 | 31.6 | 14.6 | 10 | |
| S2-1 | 24.4 | 22.9 | 35.1 | 14.6 | 3 | (NaFm) |
| S2-2 | 24.4 | 21.9 | 34.1 | 14.6 | 5 | |
| S2-3 | 24.4 | 20.9 | 33.1 | 14.6 | 7 | |
| S2-4 | 24.4 | 19.4 | 31.6 | 14.6 | 10 | |
| S3-1 | 24.4 | 22.9 | 35.1 | 14.6 | 3 | (KAc+NaFm)2) |
| S3-2 | 24.4 | 21.9 | 34.1 | 14.6 | 5 | |
| S3-3 | 24.4 | 20.9 | 33.1 | 14.6 | 7 | |
| S3-4 | 24.4 | 19.4 | 31.6 | 14.6 | 10 | |
4) MMA계 수지 및 미끄럼방지포장재의 기계적 성능 평가 방법
MMA계 수지 및 미끄럼방지포장재의 각각의 기계적 성능평가 항목은 한국도로교통안전기술협회 SPS-F KTS-1102-1890 미끄럼방지포장재 단체표준 규격(Korea Road Traffic Safety Technology Association, 2022)을 준용하였으며, MMA계 수지의 경우 인장강도 및 신장률 평가, 미끄럼방지포장재의 성능평가는 접착강도, 압축강도, 내마모성 평가를 진행하였다.
먼저, MMA계 수지의 MMA·BA·2-HEMA 3성분의 최적 비율을 도출하기 위해 인장강도 및 신장률 평가를 진행하였으며, 평가 방법은 KS M ISO 527-1, 2를 준용하여 Figure 2에 따라 시험편을 성형하였다. 재령 7일, 20℃의 시험환경에서 시험편 양 끝을 시험장비에 고정 후 인장속도 (10±2)mm/min으로 하여 시험을 진행하였고 인장강도는 Equation 2에 따라 계산하였다.
where, : 인장강도(MPa),
: 시험편 절단시 까지의 하중(N),
: 시험편의 최소 단면적(mm2),
: 시험편의 최소 두께(mm),
: 시험편 중앙 부분의 너비(mm)
신장률은 인장강도 시험 후(파단 후)의 표점 거리의 영구 연신()을 표점거리에 대한 백분율로 산정하며 다음 Equation 3에 따라 계산하였다.
where, : 파단시의 신장률(%),
: 파단시의 눈금 사이 거리(mm),
: 눈금 사이 거리(50mm)
미끄럼방지포장재의 기계적 성능평가는 SPS-F KTS-1102-1890 규격의 미끄럼방지포장재 정량적 성능평가 항목인 접착강도, 압축강도, 내마모성 평가를 진행하였다.
접착강도는 미끄럼방지포장층과 아스콘 표층 또는 콘크리트 포장면 간의 접착성을 평가하기 위한 시험으로 KS F 2386 규격에 따라 각 아스콘, 콘크리트 시험편은 (300×300×50)mm 크기이며, 시험편 상부에 (3.5±0.5)mm 두께로 미끄럼방지포장재를 도포·건조 후 (100×100)mm의 접착판을 부착하였다. 접착판의 접착제의 충분한 양생 후 접착판과 인장시험기의 크로스헤더가 일직선상에 정렬되도록 고정 후 (1)mm/min 속도로 하중을 재하하여 접착파괴 시 시험을 정지하였다.
압축강도는 KS F 2476에 따라 (40× 40× 160)mm의 미끄럼방지포장재 시험편을 절편하여 상하면을 가압면으로 하고, 하중용 가압판을 사용하여 시험편 중앙부에 (800±50)N/s의 하중 속도로 재하하여 최대 하중을 구하였다.
where, 𝜎 : 접착 또는 압축강도(MPa),
: 최대 하중(N),
: 접착 면적 또는 압축 시험편의 단면적(mm2)
내마모성 시험은 미끄럼방지포장층에 하중을 가한 상태에서 반복적인 마찰을 주어 마모되는 정도를 평가하는 방법으로 KS M 6080 내마모도 시험에 따라 진행하였다. (300×300×50)mm 크기의 콘크리트 시험편 상부에 (3.5±0.5)mm 두께로 미끄럼방지포장재를 도포·건조 후 초기 중량을 측정하였다. 이후 Figure 3과 같이 시험편 상부에 타이어 하중 (3,000)N을 가하여 60km/h의 속도로 정·역회전 각 60분을 기준으로 50만회 반복한 윤하중 내마모시험을 진행하였다. 시험 종료 후 시험편의 중량을 측정하여 손실된 중량으로 마모율을 산정하였으며, Figure 4와 같이 KS F 2375에 준하여 BPT(British pendulum tester) 시험장비를 통해 미끄럼저항지수(BPN, British pendulum number)를 측정하였다.
5) 결빙방지 성능평가 방법
유기염계 결빙방지 소재가 혼입된 결빙방지형 미끄럼방지포장재의 결빙방지 성능평가 방법은 융빙시험, 빙착 접착강도시험, 동결환경의 영향을 받은 시험편의 압축강도 평가를 진행하였다.
융빙시험은 –10℃에서 실리콘 몰드에 결빙된 (Ø100×5)mm 증류수 얼음체를 –6℃챔버에 1시간 동안 거치된 (Ø150×10)mm 크기의 미끄럼방지포장재 시험편 상부에 고정 후 챔버온도 –6℃가 유지된 환경에 120분동안 거치된 얼음체의 무게를 측정하여 초기 대비 얼음체의 무게 변화율을 평가하였다. 시험이 종료된 시험편은 #100번 샌드페이퍼를 활용하여 시험편의 표면을 연마하였으며 중량의 1%까지 감소시켜 위와 동일한 방법으로 융빙성능을 평가하였다.
빙착 접착강도 시험은 (300×300×50)mm 크기의 콘크리트 시험편 상부에 (3.5±0.5)mm 두께로 미끄럼방지포장재를 도포·건조 후 부직포가 접착된 (100×100)mm 접착판의 부직포를 증류수 20g에 흡수시킨 후 시험편 상부에 거치시켰다. 이 후 챔버온도 –6℃가 유지된 환경에 시험편을 거치하고 3시간 후 접착판과 인장시험기의 크로스헤더가 일직선상에 정렬되도록 고정 후 (1)mm/min 속도로 하중을 재하하여 접착강도를 평가하였다. 시험이 종료된 시험편은 #100번 샌드페이퍼를 활용하여 시험편의 표면을 연마하였으며 중량의 1%까지 감소시켜 위와 동일한 방법으로 빙착 접착강도시험을 진행하였다.
또한 지속적인 결빙방지 성능 발현에 따른 미끄럼방지포장재의 기계적 성능 변화를 평가하기 위해 동결환경의 영향을 받은 시험편의 압축강도 평가를 진행하였다. (40× 40× 160)mm의 미끄럼방지포장재 시험편을 증류수에 침지하고, Figures 5~6과 같이 (–20℃, 2시간 → 20℃, 3시간)의 동결 노화 주기(1 cycle)를 설정하여 총 30 cycle동안 동결 노화 시켜, 미끄럼방지포장재내에 고정된 유기염계 결빙방지 소재의 용출을 유도하고자 하였고, 30 cycle 종료 후 압축강도의 변화를 평가하였다.
3. 연구결과
1) MMA계 수지의 기계적 성능
미끄럼방지포장재는 하중, 온도변화에 따른 팽창·수축 응력, 충격 등 다양한 외력에 노출되는 포장재료이며 주 바인더 역할인 MMA계 수지의 인장강도와 신장률은 미끄럼방지포장재의 성능을 좌우하는 핵심 물성이다.
인장강도는 재료가 끊어지기 전까지 견딜 수 있는 최대 인장 응력으로 인장강도가 높을수록 도막의 균열 저항성이 향상되고 외력에 의한 파단 저항성이 우수해지며, 낮은 인장강도는 균열 발생, 마모 및 파손, 접착력 저하를 발생시키게 된다. 신장률의 경우 재료가 끊어질 때까지 늘어나는 변형률로 신장률이 높을수록 충격이나 변형 저항성이 우수하며 저온에서도 파손되지 않는 내충격성을 확보할 수 있다. 반면 너무 높은 인장강도 강도로 인한 고취성일 경우 충격저항성이 저하될 우려가 있으며, 높은 신장률은 점착성, 연화, 내마모성 저하가 발생되므로 MMA계 수지는 최적 균형의 인장강도와 신장률을 통해 구조적 강도와 내하중성을 확보하고 균열저항성 및 충격 완화 성능을 확보하여야 한다.
Figures 7~8은 MMA·BA·2-HEMA 3성분 비율별 MMA계 수지의 인장강도 및 신장률 측정결과를 나타내었다. 모든 시험편에서 SPS-F KTS-1102-1890(이하 표준규격이라 칭함)의 규격을 상회하는 결과를 보였으며, 연질 단량체인 BA 및 2-HEMA의 함량이 증가함에 따라 고경도·취성 구조에서 점차 열적 및 기계적 변형을 수용할 수 있는 탄성 구조로 변화하는 것을 확인할 수 있었다.
그 중 M2(MMA:BA:2-HEMA=70:25:5)의 조성은 인장강도, 유연성, 접착력 간의 균형이 가장 우수한 것으로 평가되었는데, 이는 M2의 조성비율에서 BA의 경우 내부 응력을 완화시켜 내충격성과 피로성을 향상시키며, 2-HEMA는 메타크릴레이트 구조에 하이드록시기(-OH)를 포함하고 있어 수소 결합 및 계면 결합력을 향상시키는 것으로 판단된다(Schier et al., 2017).
반면 M3, M4에서 볼 수 있듯이 BA 함량이 30wt% 이상, 2-HEMA 함량 10wt% 이상으로 증가하면 고분자의 사슬 이동성이 높아져 고분자 사슬이 서로 느슨해지고 분자 간 인력이 저하되어 인장강도 및 점착성의 저하가 발생되며 특히 인장강도의 경우 급격히 저하되는 것을 확인할 수 있었다. 따라서 본 연구에서 적용할 미끄럼방지포장재의 주 바인더인 MMA계 수지는 M2를 선정하였으며, 최적의 MMA계 수지를 결빙방지형 미끄럼방지포장재에 적용함으로써 저온 충격저항성 향상 및 포장층의 균열을 억제, 내구성을 향상하여 포장재의 지속적인 결빙방지 및 미끄럼방지저항성 효과를 발현하고자 하였다.
2) 결빙방지형 미끄럼방지포장재의 기계적 성능
본 연구에서는 상기의 M2(MMA계)수지를 주 바인더로 적용한 미끄럼방지포장재에 캡슐화된 유기염계 결빙방지 소재(초산칼륨 단독, 포름산나트륨 단독, 초산칼륨+포름산나트륨 혼합)를 3, 5, 7, 10wt%로 혼입한 결빙방지형 미끄럼방지포장재의 기계적 성능평가를 진행하였으며, 비교군으로는 결빙방지 소재를 첨가하지 않은 PLAIN 시험편을 사용하였다.
Figures 9, 10, 11, 12는 접착 및 압축강도 성능 평가 결과를 나타내었다, 모든 결빙방지형 미끄럼방지포장재 시험편은 각각의 성능 차이는 보였지만 표준규격을 상회하는 결과를 나타내었다. 접착강도 및 압축강도는 캡슐화된 유기염계 결빙방지 소재를 3, 5, 7, 10wt% 혼입 시 PLAIN 대비 약 96~100% 수준을 유지하였다. 이러한 결과는 캡슐화된 유기염 결빙방지 소재가 미끄럼방지포장재내의 M2수지 경화 작용에서 화학적 결합을 방해하지 않고 물리적으로 안정한 분산 상태를 유지하였기 때문으로 판단된다.
접착성능의 경우 캡슐의 표면이 MMA 코팅화 되어있어 주 바인더인 M2수지와 친화성을 보이며, M2수지가 개시-성장-종결의 단계를 거쳐 고분자 사슬로 연결되는 연쇄반응인 라디칼 연쇄 중합(Radical chain polymerization) 반응에 간섭하지 않고, M2수지의 적정한 극성기(-OH) 함유로 인해 계면 접착력이 향상에 기여한 것으로 판단된다. 압축강도의 결과는 앞서 서술된 분석 외에 캡슐 입자가 충진재로서 미세공극을 완화하고 응력 분산에 기여하여 표준규격을 상회하는 결과를 나타낸 것으로 판단된다.
이러한 결과는 캡슐화된 결빙방지 소재가 기능성 첨가제 역할 외에 미끄럼방지포장재 내에 미세충진 효과를 발현함으로써 결빙방지 성능 부여와 기계적 성능이 양립할 수 있는 가능성이 보이는 것으로 사료된다.
Figures 13~14는 윤하중 내마모시험 후 마모율 및 미끄럼저항지수(BPN)의 평가 결과를 나타내었다. 평가 결과 마모율의 경우 모든 결빙방지형 미끄럼방지포장재 시험편에서 표준규격의 약 20% 이하 수준의 중량손실율을 나타내었으며, 표면 내구성과 미끄럼저항지수(BPN) 성능 모두 안정적으로 유지된 것으로 나타내었다.
이러한 결과는 캡슐화된 유기염 결빙방지 소재가 미끄럼방지포장재 내의 M2수지 경화 작용에서 화학적 결합을 방해하지 않고, 미끄럼방지포장재 내에 균일하게 분산되어 있어 마찰 시 탈락되거나 표면공극을 형성하지 않았으며, 표면조도 및 골재 고정력에 부정적인 영향을 주지 않았기 때문으로 판단된다.
또한 주 바인더인 M2수지의 극성기(-OH)가 사슬간 거리 확장 및 미세한 자유부피의 증가 효과로 인해 미끄럼방지포장재의 탄성 회복성(Elastic recovery)이 발휘하게 되어 하중 접촉면의 국부 응력 집중을 효과적으로 분산시키게 된다. 이러한 효과로 인해 기계적 완충효과와 결합력 강화 효과가 복합적으로 작용함으로써 미끄럼방지포장면의 마찰계수가 변화가 장기적으로 안정화되고, 이에 따라 내마모성 및 미끄럼저항지수(BPN)가 표준규격 이상 수준으로 발현하는 것으로 판단된다.
3) 결빙방지형 미끄럼방지포장재의 결빙방지 성능
본 연구에서는 상기의 M2(MMA계)수지를 주 바인더로 적용한 미끄럼방지포장재에 캡슐화된 유기염계 결빙방지 소재(초산칼륨 단독, 포름산나트륨 단독, 초산칼륨+포름산나트륨 혼합)를 3, 5, 7, 10wt%로 혼입한 결빙방지형 미끄럼방지포장재의 결빙방지 성능을 평가하였다. 결빙방지 성능 평가항목은 융빙시험, 빙착 접착강도시험, 동결환경의 영향을 받은 시험편의 압축강도 평가를 진행하였다.
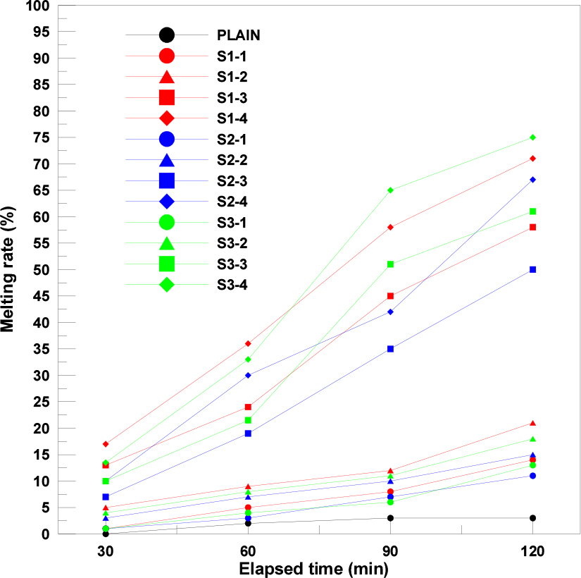
Figures 15~16은 융빙성능 시험 결과이며, 챔버온도 –6℃에서 120분간 거치된 시험편(표면연마 전·후) 상부의 증류수 얼음체가 융빙으로 인해 변화된 중량감소율을 나타내었다. 캡슐화된 유기염계 결빙방지 소재의 혼입율이 증가할수록 3wt% 시험편과 대비하여 7, 10wt% 시험편에서 7~9.5배 빠른 융빙속도를 보였으며, 시험편의 표면 연마 전·후의 융빙성능은 연마 후 시험편의 융빙률이 2~3배 높게 나타났다. 이는 미끄럼방지포장재내에 고정되었던 캡슐화된 결빙방지 소재가 표면 연마에 의해 노출·용출되어 얼음 계면으로 이온 확산 및 용질의 이동이 촉진된 결과로 판단된다.
초산칼륨 단독, 초산칼륨+포름산나트륨 혼합, 포름산나트륨 단독 순으로 융빙 속도를 보였으며 이러한 결과는 유기염계 결빙방지 소재의 화학적 조성, 용해도, 이온화도, 포장재내에 확산 특성의 차이에 기인하는 것으로 볼 수 있다. 먼저 초산칼륨은 포름산나트륨보다 물에 대한 용해도(초산칼륨 72wt%, 포름산나트륨 52wt%)가 높고, 용해 시 흡열반응(Endothemic dissolution)이 적어 빠른 이온화가 가능하다. 또한 K+이온은 Na+이온에 비해 수화 반경이 작고, 물 분자와 상호작용이 강해 얼음과의 계면에서 결정성 수소결합 네트워크를 더 효과적으로 파괴할 수 있다. 이에 대한 결과로 초산칼륨 단독은 포름산나트륨에 비해 어는점 강하가 더 크게 나타내어 융빙 초기 단계에서 반응이 빠른 것으로 판단되며, 포름산나트륨은 초산칼륨에 비해 비교적 분극성이 낮고 Na+의 수화력이 약하여 초기 융빙속도가 느리게 나타난 것으로 판단된다(Ke et al., 2019).
표면 연마 후 시험편의 융빙성능을 살펴보면 초산칼륨+포름산나트륨 혼합의 경우 60분까지는 초산칼륨 단독보다 융빙속도가 다소 느렸으나, 90분부터는 7, 10wt% 시험편에서 초산칼륨에 비해 빠른 융빙속도를 나타내었다. 이는 두 가지 유기염이 혼합되었을 때 나타나는 상호보완적 해리거동과 유효 이온세기 증가의 복합효과로 해석할 수 있다. 초산칼륨과 포름산나트륨이 함께 존재하면 K+. Na+, CH3COO-, HCOO-의 이온종이 형성되며, 각 이온은 서로 상호작용할 수 있다. 이러한 교차적 이온쌍 형성은 전체 해리율을 상승시키는 상호보완적 해리 메커니즘을 유도하며, 자유이온 농도를 증가시키기 때문에 용융층 내의 유효 이온세기가 상승한다(Ke et al., 2019). 이에 따라 이온 확산속도가 가속화되며 특히 7, 10wt% 이상에서는 빠른 융빙 반응을 유도할 수 있는 농도를 형성한 것으로 판단된다. 이는 단일 유기염인 초산칼륨이 단시간 융빙에는 유리하나 지속성이 부족할 수 있다는 한계를 극복한 결과로, 복합염의 적용은 실제 도로 환경과 같이 반복적인 결빙 및 융빙 주기에서 결빙방지 지속성을 동시에 확보할 수 있음을 의미한다.
Figures 17~18은 결빙방지형 미끄럼방지포장재 시험편의 빙착 접착시험 결과이며, 융빙 성능의 경향과 같이 캡슐화된 유기염계 결빙방지 소재의 혼입율이 증가할수록 빙착 접착력은 3wt% 시험편과 대비하여 7, 10wt% 시험편에서 감소되는 것으로 나타내었다. 이는 캡슐 내에 포함된 유기염계 결빙방지 소재가 수분과 접촉 시 점진적으로 방출되면서 접착판에 부착된 부직포의 수분 결합력 방해 즉, 얼음체의 형성을 억제시킨 효과를 발휘한 것으로 판단되며 유기염계 결빙방지 소재의 혼입량이 증가할수록 그 효과가 증대된 것으로 사료된다.
한편 표면 연마 전·후의 결과를 비교해 보면 연마 후 시험편이 연마 전 시험편보다 50% 수준의 매우 낮은 빙착 접착력을 나타내었으며, 연마과정에서 표면에 노출되는 유기염계 결빙방지 소재의 수가 증가되고 평탄화된 표면에서 균일하게 확산·용출된 결과로 보여진다. 반면 융빙 성능 결과와는 다르게 초산칼륨 단독, 포름산나트륨 단독, 초산칼륨+포름산나트륨 혼합에 관계없이 동일한 수준의 빙착 접착력을 나타내었다. 따라서 결빙방지형 미끄럼방지 포장재의 결빙방지 성능 향상을 위해 융빙성능 결과에 도출된 결빙방지 소재의 화학적 조성 외에 캡슐의 분포, 표면 노출률과 같은 구조적 요인에 대한 제어도 중요한 변수로 작용할 것으로 판단된다.
결빙방지형 미끄럼방지포장재의 동결 환경의 영향에 따른 성능 변화를 평가하기 위해 수침상태에 시험편을 (–20℃, 2시간 → 20℃, 3시간)의 동결 노화 주기(1 cycle)를 설정하여 총 30 cycle동안 동결 노화 시킨 후 압축강도를 측정하여 내구성 변화를 분석하였다.
Figure 19에 보여지는 바와 같이 모든 시험편에서 동결 노화 30cycle 후 약 7%의 압축강도 감소가 관찰되었으며, 이는 캡슐형 유기염계 결빙방지 소재의 혼입 여부에 따른 차이를 보이지 않았다.
또한 본 연구는 시험편을 수침하여 동결 노화 시험을 진행하는 동안 시험편내에 고정된 유기염 결빙방지 소재의 용출을 유도하고 시험편의 미세공극을 발생시켜 압축강도의 저하를 발생시키고자 하였다. 각 시험편마다 각각의 성능 차이는 보였지만, 그 차이의 크기는 작은 것으로 판단된다.
따라서, 캡슐화된 유기염계 결빙방지 소재의 혼입은 미끄럼방지포장재의 구조적 안정성이나 기계적 성능에 부정적인 영향을 미치지 않는 것으로 평가될 수 있으며, 캡슐화 공정으로 인해 초산칼륨 및 포름산나트륨이 포장재 내부에 안정적으로 분산·고정되어 있었기 때문으로 판단된다.
이와 같은 결과로 기대되는 효과로 실제 도로 환경에서 차량 주행에 따른 미끄럼방지포장재의 점진적인 마모는 포장재 내부의 캡슐화된 유기염계 결빙방지 소재를 순차적으로 노출시켜 장기간에 걸쳐 지속적으로 결빙방지 성능을 발휘할 수 있을 것으로 판단된다.
결론
본 연구에서는 MMA계 수지를 기반으로 한 미끄럼방지포장재에 캡슐화된 유기염계 결빙방지 소재(초산칼륨 단독, 포름산나트륨 단독, 초산칼륨+포름산나트륨 혼합)를 3, 5, 7, 10wt% 혼입하여 기계적 성능 및 결빙방지 성능 특성을 평가하였다.
기계적 성능 평가 결과 캡슐화된 결빙방지 소재의 혼입에도 불구하고 미끄럼방지포장재의 접착강도, 압축강도, 내마모성은 모든 시험편이 SPS-F KTS-1102-1890 표준규격을 상회하는 결과를 나타내었다. 이는 캡슐화된 유기염 결빙방지 소재가 MMA계 수지의 경화 반응을 화학적으로 방해하지 않고, 미끄럼방지포장재내에 물리적으로 안정된 분산 상태를 유지했기 때문으로 판단된다. 또한 캡슐 코팅 표면은 MMA계 수지와 동일한 소재로 높은 친화성을 가지는 구조로 설계되어, 주 바인더인 MMA계 수지의 라디칼 중합 과정에서 계면 접착력을 유지한 것이 기계적 성능 안정성에 기여한 것으로 판단된다.
융빙성능의 경우 캡슐화된 유기염계 결빙방재 소재의 혼입량이 증가할수록 융빙속도를 빨라졌으며, 특히 초산칼륨 단독과, 초산칼륨+포름산나트륨 혼합형이 가장 우수한 융빙성능을 나타내었다. 이는 초산칼륨의 높은 용해도와 강한 수화력에 기인하며, 혼합형의 경우 상호보완적 해리 메커니즘에 의해 유효 이온세기가 증가하면서 이온 확산이 촉진되어 융빙속도가 더욱 향상된 것으로 해석된다.
빙착 접착강도는 융빙성능의 경향과 같이 결빙방지 소재의 혼입률이 증가할수록 접착력은 감소하였으며, 시험편 표면 연마 후의 경우 연마 전 시험편보다 매우 낮은 빙착 접착강도를 발현하였다. 이는 연마 후 노출된 캡슐이 수분과 접촉하여 캡슐내부의 유기염계 결빙방지 소재가 빠르게 용출되었기 때문으로 판단된다. 이러한 결과는 결빙방지 소재의 화적적 조성뿐 아니라 캡슐의 분포 및 노출 특성이 실제 결빙방지 성능에 큰 영향을 미친다는 점을 시사한다.
동결 환경 노화 평가를 통해 내구성의 변화를 평가하고자 압축강도 특성을 평가하였으며, PLAIN을 포함한 모든 시험편에서 약 7% 수준의 압축강도 저하를 나타내었다. 캡슐화된 결빙방지 소재의 혼입 유무 및 비율과 관계없는 수준의 압축강도 변화이며, 동결 환경 노화 가속시험 중 수침에 의한 용출 및 공극 발생을 유도하였음에도 불구하고 PLAIN 대비 강도 저하가 발생하지 않았다. 이는 캡슐화 공정이 미끄럼방지포장재내에 소재의 안정적 고정을 가능하게 했기 때문으로 판단되며, 미끄럼방지포장재의 구조적 안정석과 기계적 성능에 부정적인 영향을 미치치 않음을 입증하는 결과이다.
종합적으로 캡슐화된 유기염계 결빙방지 소재를 MMA계 미끄럼방지포장재에 적용할 경우 미끄럼방지 성능 및 내구성을 확보하면서도 결빙방지 효과를 부여할 수 있는 복합 기능성 미끄럼방지포장재 개발의 가능성을 확인할 수 있었다. 특히 캡슐화된 유기염계 결빙방지 소재가 포장재 내부에 안정적으로 분산·고정됨으로써 실제 도로 환경에서 차량 주행에 따른 마모 과정 중 점진적으로 노출되어 장기적인 결빙방지 효과를 지속적으로 발현할 것으로 판단된다.
본 연구의 결과는 겨울철 제설작업 투입 전 시간대의 교통사고 위험을 효과적으로 감소 시킬 수 있는 사전 예방적 관리시스템 즉, 결빙방지형 도로 포장층의 기초자료로 활용될 수 있다. 향후 본 연구결과의 상용화 가능성을 확인하기 위해 실제 포장·설치 환경에서의 장기 내구성 및 반복 동결 환경에 대한 추가적인 현장 검증을 평가할 필요가 있다.





















