서론
선행연구
분석방법론
1. 분석대상 정류장 선정
2. Dynamic Time Warping Method
중앙버스전용차로 정체 유형분류
1. 버스운행데이터 군집별 정체 유형 분석
2. 버스정류장 운영환경에 따른 유형 분석
3. 중앙버스전용차로 정체 유형 분류
결론 및 향후연구
서론
서울시는 대중교통 중심의 도시교통체계를 구축하기 위해 중앙버스전용차로제를 도입하여 운영 중이며, 현재는 총 13개 노선축에 걸쳐 약 128.9km에 이르는 구간에서 중앙버스전용차로가 설치되어 있다(Figure 1). 중앙버스전용차로는 일반차량과 물리적으로 구분된 공간을 통해 버스의 통행권을 확보함으로써, 대중교통의 정시성과 속도 경쟁력을 확보하고, 승용차 이용을 억제하여 교통 혼잡을 완화하고자 하는 목적을 갖는다. 이러한 정책적 배경 아래, 서울시의 중앙버스전용차로는 버스 운행의 신속성과 편의성 측면에서 일정 수준의 효과를 보였으며, 대중교통 이용 활성화에 기여해 왔다.
특히 중앙버스전용차로는 출퇴근 시간대 교통량 집중을 완화하고, 정체 구간에서 버스의 통행 우선권을 확보함으로써 대중교통의 경쟁력을 제고하는 핵심 수단으로 간주되어 왔다. 그러나 수도권 광역화에 따라 광역버스 노선 운행이 점차 증가하였고, 2022년 11월에 시행된 광역버스 전면 입석금지 정책의 시행으로 인해 이용객 불편 해소를 위한 증차로 정체가 더욱 심화되는 문제가 발생하였다. 이에 설치 이후 20년이 경과하면서 제도의 성과와 효율성에 대한 재평가 필요성이 제기되고 있다. 실제로 최근 운영 실태를 살펴보면, 중앙버스전용차로의 통행속도가 일반 승용차의 평균 통행속도와 유사한 수준(도심지역 기준 일반 승용차: 18.6km/h, 중앙버스전용차로: 18.0km/h)으로 나타나 속도 측면에서 경쟁력을 확보하지 못하고 있으며, 이는 신속한 버스 서비스 제공 측면의 경쟁력 저하로 연결되고 있는 실정이다. 특히, 일부 노선에서는 Figure 2와 같이 일반도로보다 오히려 통행속도가 낮거나 정체가 빈발하는 구간이 존재하는 등 운영 효율성에 대한 문제가 발생하고 있다. 이러한 현상은 버스 운행의 정시성과 신뢰성 저하로 이어지며, 이용자 만족도 하락과 수단 선택 시 대중교통의 매력도 저하로 연결될 수 있다.
기존 연구들은 중앙버스전용차로의 설치 효과나 정량적 성과에 초점을 맞춘 분석이 주를 이루었으며, 체계적인 운영성과 진단 및 구간별 병목 원인에 대한 정밀 분석은 상대적으로 부족한 실정이다. 이러한 한계 속에서 중앙버스전용차로의 지속적인 기능 유지를 위해서는 실제 운영 실태를 바탕으로 한 정밀 진단과 구간별 맞춤형 개선방안 마련이 시급하다.
본 연구에서는 문제가 되는 특정 정체구간을 중심으로 대책을 수립하는 것이 아닌, Bus Management System (BMS) 데이터 분석을 통해 서울시 중앙버스전용차로 전체 13개 축에 대한 운영 현황을 진단하고자 한다. 또한, 정체 구간의 현장 여건조사를 통해 통행속도 저하 요인을 분석하고, 그에 따른 대책 수립을 통한 발전방향을 제시하고자 한다. 이를 통해 단순한 통행속도 향상을 넘어, 이용자 중심의 대중교통 서비스 품질 제고 및 도심 혼잡 완화라는 정책적 목표 달성에 기여하고자 한다.
선행연구
버스전용차로는 버스와 자동차 간의 상호 작용을 줄여 교통 흐름의 효율성을 높이고 대중교통의 정시성을 확보하기 위한 핵심적 교통 인프라로써 전 세계적으로 도입이 확산되고 있다. 특히 도시 교통 혼잡이 심화되는 가운데, 버스전용차로는 버스 통행속도 개선, 수단전환 유도 등의 효과를 통해 도시교통체계 전반에 긍정적인 영향을 미치는 것으로 평가된다. 본 절에서는 버스전용차로가 미치는 정책적 효과를 분석한 선행연구들을 중심으로 고찰하고, 그 한계와 향후 분석 방향에 대해 정리하고자 한다.
버스전용차로의 도입 효과 중에서도 가장 두드러지는 성과는 버스 운행 관련 지표의 개선으로, 이는 대중교통의 경쟁력 제고와 수요 증가에 직접적인 영향을 미친다. Cho and Kim(2013)은 서울시 내 중앙버스전용차로 운영에 영향을 미치는 주요 요인을 규명하고, 이를 반영한 용량 및 서비스 수준 평가방법을 제안하였다. Khakimov and Tanaka(2024)는 타슈켄트를 대상으로 한 분석에서 버스전용차로가 통행 속도, 정시성, 지체 시간 감소 등에 긍정적인 효과를 미친다고 보고하였다. 이와 함께, Li and Ju(2009)와 De Brito-Filho and Oliveira-Neto(2025)는 전용차로 설치가 수송 능력 확대와 운영 효율성 제고 측면에서도 기여함을 정량적으로 분석하였다. 이들 연구는 중앙버스차로가 단순한 물리적 통행 개선을 넘어, 교통 시스템 전반의 성능을 향상시키는 정책 수단임을 실증적으로 입증하고 있다.
이러한 물리적·운영적 성능 향상은 결국 이용자의 교통수단 선택 행태에도 변화를 유도하며, 이는 또 다른 정책적 효과로 해석된다. 버스전용차로 설치를 통해 대중교통의 신뢰성과 접근성이 높아지면, 이용자는 통행 비용과 시간, 쾌적성 등을 종합적으로 고려하여 자가용에서 대중교통으로 전환할 가능성이 높아진다. Kim(2013)는 마이크로 시뮬레이션을 활용하여 중앙버스전용차로의 도입 효과를 분석하고, 이를 바탕으로 수단선택 모형을 구축하여 자가용 이용자의 대중교통 전환 가능성을 확인하였다.
중앙버스전용차로의 도입이 일반적으로 교통 효율성 향상에 기여하는 것으로 보고되고 있으나, 차종 구성의 이질성이 크고 교통 질서가 상대적으로 불안정한 교통환경에서는 그 효과가 제한되거나 상충되는 경우도 존재한다. Arasan and Vedagiri(2010)는 여러 차종이 혼재된 인도 도시를 사례로 시뮬레이션 기반 분석을 수행하였으며, 버스 승객의 통행 시간은 단축되었지만 일부 일반차량 이용자의 통행 시간은 오히려 증가하는 상충 효과가 발생함을 보고하였다. 그럼에도 불구하고 전체 통행자 기준으로는 총 통행 시간 및 지체 시간이 감소하여, 버스전용차로가 시스템 전반의 효율성을 향상시킬 수 있음을 확인하였다. Abdelfatah and Abdulwahid(2017) 또한 시뮬레이션을 통해 전용차로 도입이 버스의 평균 통행 속도와 정시성을 향상시키는 동시에, 일부 일반차량의 지체 증가에도 불구하고 전체 시스템 효율성을 개선한다고 분석하였다. Baik et al.(2018)는 서울시의 중앙버스전용차로 도입 전후의 교통량 및 통행속도 변화를 바탕으로 대기오염 물질의 배출량을 추정하였다. 분석 결과, 일부 노선에서는 버스 통행 환경이 개선됨에 따라 대기오염 저감 효과가 확인되었으며, 이는 중앙버스전용차로가 교통 정책 이상의 환경정책 수단으로도 기능할 수 있음을 나타낸다.
그러나 기존 연구들은 버스전용차로 도입 전후의 효과를 비교하거나 시뮬레이션을 통한 효과분석을 수행하는 데에 초점을 맞추고 있으며, 도입 이후 장기적인 운영 과정과 실제 정류장 운영에 있어 발생하는 성능 저하나 구조적 문제점에 대해서는 충분히 분석하지 못하고 있는 한계가 존재한다. 특히 운행 시간이 경과함에 따라 나타나는 속도 저하나 정체 현상에 대한 원인 분석과 개선 방안 도출은 여전히 미흡한 실정이다. 이에 본 연구는 현재 서울시에서 운영 중인 중앙버스전용차로를 대상으로, BMS자료와 영상자료를 활용하여 실제 운행 속도가 낮은 구간에 대해 그 원인을 체계적으로 분석함으로써 운영 개선을 위한 실질적 대책을 제시하고자 한다.
분석방법론
1. 분석대상 정류장 선정
본 연구에서는 평균통행속도가 낮은 정류장을 분석대상으로 선정하였으며, 이때 정류장 간 통행속도를 산정하기 위해 Figure 3과 같이 각 정류장에서의 출발시각을 기준으로 하였다. 구체적으로는, 다음 정류장의 출발시각에서 이전 정류장의 출발시각을 뺀 값을 통행시간으로 정의하였으며, 이를 바탕으로 속도를 계산하였다. 이러한 구성은 정체 발생 요인을 보다 명확히 분석하기 위한 것이다. 예를 들어, 승하차 인원이 많아질 경우 승하차 시간이 증가하게 되며, 이는 정차시간의 증가로 이어진다. 반면, 정류장 수용능력에 비해 운행 중인 버스 대수가 많을 경우에는 정류장 외부에서 대기행렬이 형성되어 주행시간이 증가하게 된다. 따라서 통행시간은 정차시간과 주행시간 모두의 영향을 받는 복합적인 지표라 할 수 있다. 단순히 주행시간만을 고려하는 것이 아니라, 정차시간과 주행시간을 모두 고려하여 통행시간을 산정함으로써, 정체를 유발하는 다양한 요인을 통합적으로 반영할 수 있다.
앞서 제시한 방법을 바탕으로 중앙버스전용차로 구간의 운행 효율성 저하 요인을 정량적으로 분석하기 위해, 서울시 전체 버스 노선의 BMS 데이터를 활용하여 전체 13개 축에 대해 방향별, 시간대별로 정류장 간 평균통행속도가 가장 낮은 정체구간을 1개소씩 선정하였다. 이후 현장조사를 통해 전체적으로 속도가 낮은 7개 구간을 추가로 선정하여 총 20개 구간이 분석 대상으로 선정되었다(Table 1). 강남대로 축에서는 총 4개 구간이 정체구간으로 선정되었으며, 이는 전체 조사구간 중 가장 많은 수에 해당한다. 이들 구간에 대해 15분 단위의 첨두시간대 통행속도를 분석한 결과, 통행속도가 가장 낮은 구간은 강남대로 외곽방향에 위치한 ‘신분당선강남역’ 정류장으로 확인되었다. 해당 구간의 오후 첨두시간대 평균 통행속도는 시속 4.3km로, 극심한 속도 저하가 발생하고 있는 것으로 나타났다. 이외의 정체구간으로 분류된 정류장들 또한 첨두시간대 평균 통행속도가 대부분 시속 10km를 넘지 못하는 수준으로 분석된다.
Table 1.
Identified congested segments in median exclusive bus lane (total 20 segments)
2. Dynamic Time Warping Method
본 연구에서는 각 정류장에서 수집된 자료의 시계열적 변화를 기반으로 정체 양상의 패턴을 파악하고자 시계열 유사도 측정 기법인 Dynamic Time Warping(DTW)을 적용하였다. DTW는 시계열 데이터 간의 시간축 왜곡(time warping)에 유연하게 대응할 수 있는 알고리즘으로, 동일한 패턴을 갖되 시점이 어긋난 데이터 간 유사성을 효과적으로 분석할 수 있다는 장점이 있다(Berndt and Clifford, 1994). 이를 통해 단순한 평균 통행속도 비교를 넘어, 시간대별 통행 패턴의 구조적 유사성을 반영한 정류장 간 비교가 가능하다. 두 시계열 , 에 대해 점 간 거리 를 기반으로 워핑경로 𝜋를 따라 누적거리 합을 최소화하는 방식으로 정의된다(Equation 1). 이러한 구조는 하나의 최적 경로에만 의존하므로 정렬이 뚜렷하고 Figure 4(a)와 같이 sharp하게 나타나는 특성이 있다. 그러나 전통적인 DTW는 단변수 시계열에 최적화된 기법으로, 통행속도 외에 정차시간, 통과대수 등 복수의 변수로 구성된 다변수 시계열 데이터를 분석하는 데 한계가 있다. 또한 유사도 함수가 미분이 불가능하다는 점에서, 이후 클러스터링이나 최적화 기반 분석 기법과의 연계에 제약이 존재한다.
이러한 한계를 극복하기 위해, 본 연구에서는 Soft-DTW 기법을 활용하였다. 이 알고리즘은 전통적인 DTW의 비선형 정렬 특성을 유지하면서도, 유사도 계산 과정에 스무딩 파라미터 𝛾를 도입함으로써 미분 가능하도록 확장된 형태이다(Cuturi et al., 2017). Soft-DTW는 모든 워핑 경로에 대해 확률적으로 가중치를 부여하며, Equation 2와 같이 누적비용을 계산한다. 이를 통해 경로 선택에서 단일 최적 경로에 의존하지 않고, 모든 경로를 부드럽게 평균화하여 정렬의 민감도를 낮출 수 있다(Figure 4(b)). 이와 같은 구조는 노이즈나 미세한 진폭변화에 덜 민감하게 반응하며, 다변수 시계열 데이터의 경우 각 변수의 기여도를 안정적으로 반영함으로써 변수 간 정렬의 구조적 일관성도 확보할 수 있다. 결과적으로, 실제 복잡한 시계열 환경에서도 정렬의 신뢰도와 해석가능성을 높일 수 있다.
본 연구에서는 정류장별로 수집된 통행속도, 정차시간, 통과대수 등의 데이터를 시계열 형태로 구성한 후, Soft-DTW 기반의 유사도 행렬을 생성하였다. 이후 해당 유사도 정보를 활용하여 정류장 간 클러스터링 분석을 수행함으로써, 시간대별 정체 패턴의 유형을 분류하고 그 특성을 규명하고자 하였다. 클러스터의 적정 개수는 Rousseeuw(1987)가 제안한 실루엣 계수(Silhouette Score)를 기준으로 평가하였다. 실루엣 계수는 각 데이터 포인트가 동일 클러스터 내의 응집도와 타 클러스터와의 분리도를 동시에 고려하여 산출되는 지표로, Equation 3과 같이 정의된다: 이때, 실루엣 계수는 –1~1 사이의 값을 가지며, 1에 가까울수록 명확한 클러스터링 구조를 의미한다.
: 실루엣 계수
: 샘플 i와 같은 클러스터 내의 다른 샘플들과의 평균거리(내부응집도)
: 샘플 i가 속하지 않은 다른 클러스터 중 가장 가까운 클러스터와의 평균거리(외부분리도)
중앙버스전용차로 구간의 정체 양상을 시계열 기반으로 정량화하기 위해, 본 연구에서는 각 정류장에서 수집된 운영 및 교통 특성 데이터를 바탕으로 다변수 시계열을 구성하였다. 수집된 변수는 정류장 운영 특성과 정체 발생과의 관련성을 반영할 수 있도록 Table 2와 같이 총 16개 항목으로 구성되며, 주요 내용은 다음과 같다. 정류장별 운행 상황을 나타내는 노선 수, 계획 운행대수, 통과대수, 이전 주기 잔여버스 대수, 한 주기 서비스 실패 대수와 같은 운영 지표, 승하차 인원수, 정차횟수(전체 및 승하차 목적), 평균 정차시간과 같은 수요 및 정차 관련 지표, 유효 녹색시간 비율(정류장 및 하류부 교차로 기준), 평균 통행속도, 최대 대기행렬 길이가 포함되며, 정류장 위치, 추월차로의 경우 보조적인 지표로써 활용이 된다.
Table 2.
Variable descriptions for congestion analysis
동일 정류장이라 하더라도 주요 변수의 수준과 분포가 시간대별로 다르게 나타나며(Arhin et al., 2015), 이는 클러스터링 분석 시 유형 간 구분을 모호하게 만들 수 있다. 이에 따라 본 연구에서는 시간대별 특성을 보다 명확히 반영하고자, 각 정류장에 대해 15분 단위로 시간대별 다변수 시계열 데이터를 구성하였다. Soft-DTW 분석은 시간대별 통행 특성의 차이를 반영하기 위해 오전 첨두시간대(07:00–10:00)와 오후 첨두시간대(17:00–20:00)로 구분하여 각각 수행되었으며, 각 변수들 간의 영향력 편차를 최소화하기 위해 각 변수에 대해 표준정규화를 실시하였다. 각 시간대별로 정류장 간 Soft-DTW 거리 행렬을 산출하고, 이를 기반으로 K-means 클러스터링을 적용하였다. 클러스터 수는 3개에서 7개까지 순차적으로 변화시키며 분석을 반복하였고, 실루엣 계수를 활용하여 각 클러스터 수에 대한 적절성을 평가하였다. 그 결과, Figure 5는 오전 첨두시간대의 클러스터링 결과를 보여주며, 이때 클러스터 수가 3개일 때 실루엣 계수가 0.018로 가장 높아 해당 구성이 가장 타당한 군집 구분으로 분석되었다. Figure 6는 오후 첨두시간대에 대한 결과로, 4개 군집을 구성한 경우가(0.04198) 3개인 경우보다(0.04195) 다소 높은 계수를 보여 보다 적절한 클러스터 구조로 판단되었다.
중앙버스전용차로 정체 유형분류
1. 버스운행데이터 군집별 정체 유형 분석
오전 및 오후 첨두시간대의 정류장별 시계열 데이터를 대상으로 sosft-DTW 기반 클러스터링을 수행한 결과, 시간대에 따라 서로 상이한 정체 유형이 존재함을 확인할 수 있었다. Table 3는 각 클러스터별 주요 지표를 비교한 것으로, 노선 수, 계획 운행대수, 승하차 수요, 정차시간, 통행속도, 유효녹색시간 비율, 최대 대기행렬 등 정체에 영향을 미치는 구조적 요인의 차이를 보여준다.
Table 3.
Summary of morning and afternoon-peak cluster
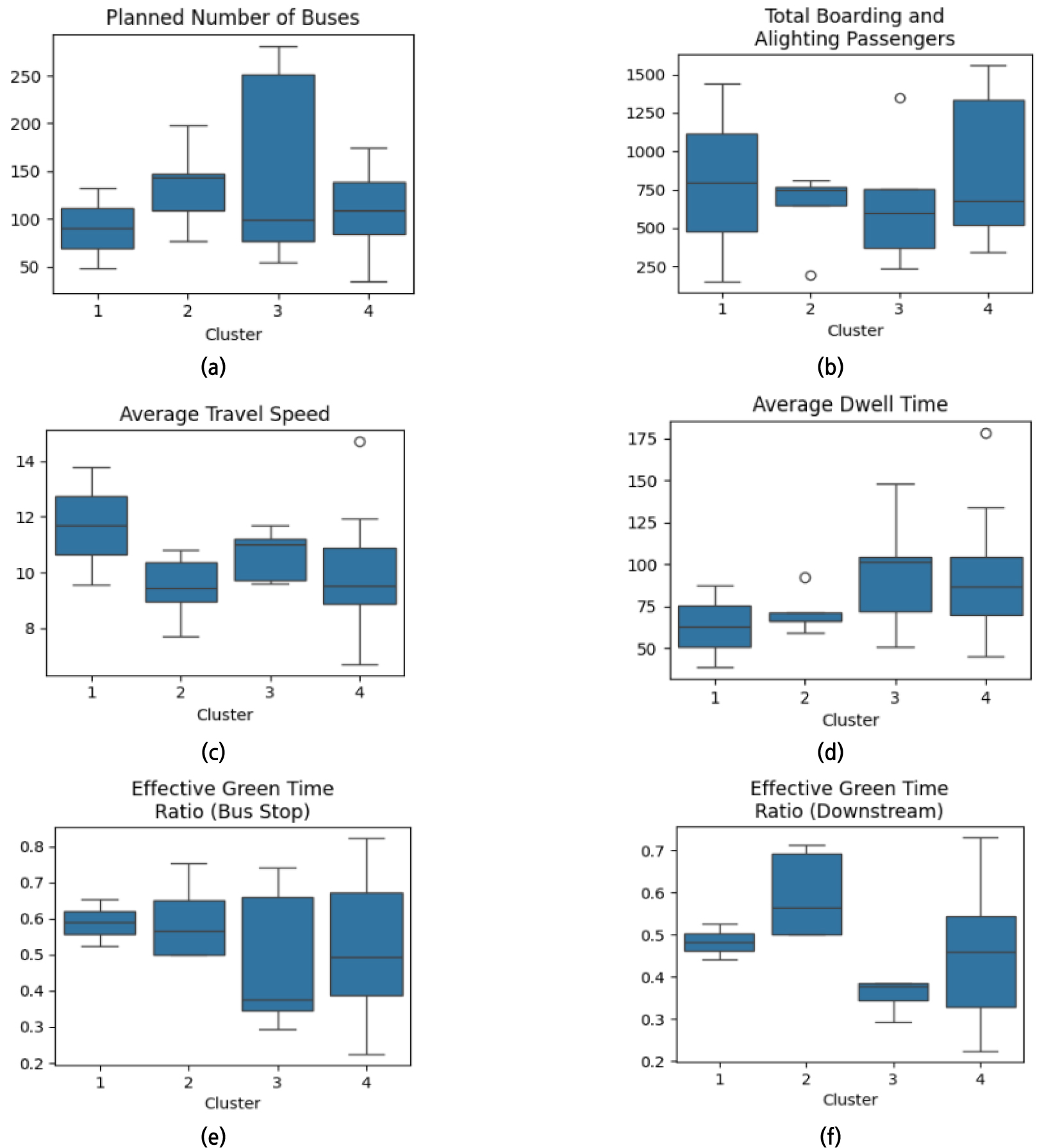
오전 첨두는 3개 클러스터로 구분되며, 일부 특성에 대한 지표는 Figure 7과 같이 나타난다. 클러스터 1은 상대적으로 많은 노선 수와 계획 운행대수, 통과대수를 보이며(Figure 7(a), 7(b)), Figure 7(e)와 같이 유효녹색시간 비율도 세 군집 중 가장 높았다. 평균 통행속도는 11.52km/h로 양호한 수준이며, 정차시간도 62.34초로 비교적 짧았다. 그럼에도 불구하고, 높은 계획운행대수와 승하차인원으로 인해 한 주기 당 서비스 실패가 일어나고 있는 구간으로 판단된다. 클러스터 2는 Figure 7(a), 7(b)와 같이 노선 수 및 통과대수가 모두 낮은 수준으로, 평균 통행속도는 12.49km/h로 가장 높았다 (Figure 7(d)). 반면, 평균 정차시간은 79.45초로 1번 클러스터보다 길었고, 유효녹색시간 비율은 다소 낮았다. 한 주기 서비스 실패 대수는 없는 것으로 기록되어 차량운영 안정성이 확보된 반면, 정차 시 소요되는 시간이 상대적으로 길어지는 경향이 있는 유형으로 해석된다. 클러스터 3은 높은 승하차 인원수와 함께 평균 통행속도는 10.03km/h로 가장 낮게 나타났다 (Figure 7(c), 7(d)). 또한, 유효녹색시간 비율도 Figure 7(e), 7(f)와 같이 정류장과 하류부 교차로에서 모두 가장 낮은 수준을 보인다. 이는 수요 집중으로 인한 승하차 지체 및 정차시간 증가, 그리고 비효율적인 신호운영이 복합적으로 작용하여 정체가 가장 심화된 정류장으로 해석된다. 이를 토대로 오전 첨두의 클러스터 유형을 정리하면, 클러스터 1은 계획운행대수나 통과대수가 높아 서비스 실패가 일어나는 유형이며, 클러스터 2의 낮은 통과대수나 승하차 인원의 경우 원활한 통행흐름을 보이지만, 정차시간 지연 중심의 정체가 발생하는 유형이다. 클러스터 3의 경우 다수의 승하차 인원으로 지체 및 정차시간 증가가 발생하고 비효율적 신호운영이 복합적으로 작용하는 유형으로, 정체가 가장 심한 것으로 분류된다.
오후 첨두의 경우 4개의 클러스터로 분류되었으며, 일부 특성에 대한 지표는 Figure 8과 같다. 클러스터 1은 낮은 운행계획대수와 높은 녹색시간 비율로 평균속도가 11.69km/h로 높고 최대 대기행렬이 가장 낮으나, 높은 승하차 인원으로 인해 서비스 실패가 발생한다. 클러스터 2는 계획운행 대수나 통과대수가 높으나 Figure 8(b), 8(e)와 같이 낮은 승하차인원과 유효녹색시간 비율 등 안정적인 공급 특성을 보인다. 그러나, 평균 통행속도는 9.46km/h로 낮고(Figure 8(c)), 최대 대기행렬도 2.6대로 비교적 길게 나타난다. 특히 평균 정차시간은 Figure 8(d)와 같이 클러스터 1보다 다소 길며, 정차 횟수는 거의 동일함에도 통행 효율이 저하된 것으로 나타난다. 이는 외부 교통요인으로 인한 지체가 발생하는 유형으로 볼 수 있다. 클러스터 3은 공급되는 노선의 수가 가장 많으나, Figure 8(f)와 같이, 낮은 하류부 녹색 신호비율로 인해 정차횟수가 많고, 평균 정차시간이 95.46초로 가장 길게 나타난다 (Figure 8(d)). 클러스터 4는 다수의 통과대수 뿐 아니라 Figure 8(b)와 같이 높은 승하차 인원으로 인해 정차시간뿐 아니라 정차횟수도 높은 것으로 나타난다. 반면, 통행속도는 10.03 km/h로 평균 수준이지만, 수요 집중과 이로 인한 정차지연으로 인해 가장 높은 대기행렬을 보이는 것으로 판단된다. 분석된 내용을 바탕으로 오후 첨두의 클러스터 유형을 정리하면, 클러스터 1은 공급 대비 적절한 수요와 정차 특성으로 통행이 원활한 유형이고, 클러스터 2는 공급이 안정적이나 정체가 구조적으로 발생하는 유형이다. 클러스터 3은 높은 계획운행대수와 비효율적 신호운영으로 정체가 발생되는 유형이고, 클러스터 4는 대규모 수요 집중으로 정체와 대기행렬이 구조화된 유형으로 분류할 수 있다. 각 클러스터 별 지도상 정류장 위치는 Figure 9에 도시되어 있다.
2. 버스정류장 운영환경에 따른 유형 분석
한편, 앞서 도출한 유형별 정체 특성은 시계열 클러스터링과 정량적 지표를 기반으로 분석된 결과이나, 오후 클러스터 2와 같이 데이터만으로는 정체의 근본 원인을 완전히 설명하기에 한계가 있다. 운영현황을 종합적으로 검토한 결과, 정류장 혼잡을 유발하는 주요 정체 요인은 다음 네 가지로 정리된다. 첫째, 처리용량을 초과하는 노선 수와 운행 대수, 간선·지선 혼용 등 물리적 수용능력의 한계. 둘째, 추월차로 부재, 정류장 간 거리 부족 등 기하구조적 제약. 셋째, 장시간 정차나 잦은 정차 등 운영체계 상의 비효율. 넷째, 유효녹색시간 부족 및 서행 운행 등 신호 운영의 제약이 대표적이다.
오전 및 오후 첨두시간대의 정체 유형을 클러스터별로 분석하고, 이에 대한 정량지표와 운영현황을 종합한 결과, 서울시 중앙버스전용차로 정류장의 정체는 다음의 네 가지 대표 유형으로 구조화할 수 있다. 첫 번째 유형은 수요 과부하형 정체로, 계획된 운행대수와 유효녹색시간 비율 등 공급 조건은 양호하나, 그에 비해 승하차 수요가 과도하여 서비스 실패가 발생하는 유형이다. 이러한 유형은 평균 통행속도는 양호한 편이나, 정류장 용량을 초과하는 수요로 인해 반복적인 정체가 유발된다(오전 첨두 클러스터 1,오후 첨두 클러스터 1). 두 번째는 수요 집중 및 신호 비효율이 복합적으로 작용하는 정체 유형이다. 이 유형은 승하차 수요가 매우 높은 동시에 유효녹색시간 비율이 낮고, 평균 정차시간과 정차횟수가 모두 길게 나타난다. 수요와 공급의 불균형뿐 아니라, 신호 운영의 비효율성으로 인해 대기행렬이 증가하고, 전반적인 흐름이 심각하게 저해된다(오전 첨두 클러스터 3, 오후 첨두 클러스터 4). 세 번째는 공급 과잉형 정체로, 노선 수와 운행대수가 많아 지나친 정차 빈도를 유발하며, 하류부 신호조건 또한 비효율적인 구간에서 나타난다. 이러한 조건은 정차시간을 증가시키고, 잦은 정차로 인해 서비스 수준이 저하된다. 평균 통행속도는 중간 수준이나, 대기행렬이 지속적으로 축적되어 정류장 혼잡이 구조화되는 양상을 보인다(오후 첨두 클러스터 3). 마지막 네 번째는 구조적 제약형 정체로, 정류장 물리적 처리용량의 부족, 추월차로의 부재, 기하구조적 제약 등으로 인해 혼잡이 발생하는 유형이다. 특히 오전 첨두 클러스터 2와 오후 첨두 클러스터 2는 유효녹색시간 비율과 승하차 수요가 모두 중간 수준임에도 불구하고, 평균 통행속도는 낮고 대기행렬이 길게 나타나, 외부 교통 환경 및 정류장 구조적 한계에 기인한 병목 현상을 보여준다.
3. 중앙버스전용차로 정체 유형 분류
정체 유형별로 상이한 발생 원인과 운영 조건을 고려할 때, 획일적 개선방안보다 유형별 맞춤형 개선전략을 수립하는 것이 효과적이다. 본 연구에서는 오전 및 오후 첨두시간대의 클러스터 분석과 운영현황을 종합하여 도출한 네 가지 정체 유형을 기준으로 각 유형에 부합하는 단기 및 중장기 개선방안을 아래와 같이 제시한다.
첫 번째로, 수요 과부하형 정체 유형은 계획된 운행대수나 유효녹색시간 비율 등 공급 여건은 충분하지만, 그에 비해 승하차 수요가 과도하여 한 주기 내 처리가 어려운 경우에 해당한다. 클러스터링 그룹 중 오전 첨두 클러스터 1, 오후 첨두 클러스터 1이 해당된다. 이 유형에 대해서는 단기적으로 수요 대비 운행대수를 재조정하고, 정류장에 정차하는 지선버스나 공항버스 등 일부 노선의 중앙차로 진입을 제한함으로써 정류장 혼잡을 완화할 수 있다. 또한, 유효녹색시간 확보를 위한 신호주기 조정이 병행되어야 한다. 중장기적으로는 간선 중심의 Hub-and-Spoke 체계 고도화를 통해 정류장 집중도를 분산시키고, 양문형 차량 도입 및 Pre-paid 시스템 구축을 통해 정차시간을 줄이는 방안이 유효할 것이다. 스마트정류장 구축을 통해 사전 정차면 안내 및 승객 유도 시스템을 도입하는 것 또한 정류장 처리용량을 실질적으로 높이는 데 기여할 수 있다.
두 번째로, 수요 집중과 신호 비효율이 복합적으로 작용하는 정체 유형은 높은 승하차 수요와 낮은 유효녹색시간 비율, 그리고 긴 정차시간과 정차횟수 등 복합적인 병목 요인이 관찰되는 경우이다. 클러스터링 그룹 중 오전 첨두 클러스터 3, 오후 첨두 클러스터 4가 여기에 해당된다. 이 유형의 경우 단기적으로는 하류부 및 횡단보도 신호에 대한 현시 재분배, 특정 정류장에 집중된 노선의 분산 운영, 혼잡 정류장의 가로변 이전 등의 조치가 필요하다. 중장기적으로는 정류장 간 거리 조정 또는 통합 운영을 통해 신호 영향을 줄이고, 추월차로를 신설하여 통과 수요를 우회시킬 수 있도록 해야 한다. 또한 정류장 주변의 기하구조를 개선하고, 도착 예측 시스템과 스마트쉘터를 결합한 스마트정류장 운영을 통해 승하차 흐름의 안정성을 높이는 것이 효과적이다.
세 번째로, 공급 과잉형 정체는 노선 수나 운행대수가 과도하게 집중되면서 잦은 정차가 발생하고, 하류부의 비효율적 신호 운영이 정류장 내 체류시간을 증가시키는 유형으로, 오후 첨두 클러스터 3이 여기에 해당된다. 이러한 경우 단기적으로는 중복 노선의 정류장 정차를 조정하거나 가로변으로 이관하고, 통과지점까지 분리차로를 유지하도록 기하구조를 개선함으로써 정차빈도를 줄일 수 있다. 중장기적으로는 주간선 및 급행 중심의 노선 재편과 함께 환승 중심의 환승센터 또는 간선도로 직결형 정류장 설치를 통해 정류장 부하를 분산시키는 것이 필요하다. 정류장 간 간격을 적절히 조정하여 불필요한 정차를 최소화하는 것도 중요하다.
마지막으로, 구조적 제약형 정체는 물리적 처리용량의 부족, 추월차로 부재, 정류장 위치의 기하구조적 문제 등 외부 제약에 의해 혼잡이 유발되는 유형으로, 오전 첨두 클러스터 2, 오후 첨두 클러스터2가 해당된다. 단기적으로는 정류장 인근 교차로나 횡단보도의 신호 간섭을 줄이고, 정차구간의 접근성 향상을 위한 도로 정비가 필요하다. 중장기적으로는 추월차로 설치가 어려운 구간에 대해 정류장 위치 조정이나 인접 정류장 통합을 통해 운영 여건을 개선할 수 있다. 또한, 대형교차로 인근의 정류장은 정차 공간 및 신호 확보가 어려운 경우가 많기 때문에 정류장 이격 또는 재배치가 병행되어야 하며, 해당 구간에 스마트정류장을 우선적으로 도입하여 운영 효율성을 높이는 방안도 고려할 수 있다. 이와 같이 유형별 정체 원인에 부합하는 단기 및 중장기 개선전략을 병행적으로 수립하고 추진함으로써, 서울시 중앙버스전용차로 운영의 실효성을 제고하고, 혼잡 완화에 있어 정교하고 지속가능한 정책적 성과를 도출할 수 있을 것이다.
결론 및 향후연구
도시 내 대중교통 시스템의 핵심 기반 중 하나인 중앙버스전용차로는 통행속도와 정시성을 보장함으로써 대중교통의 경쟁력을 제고하고 승용차 수요를 대체하는 데 중요한 역할을 수행해왔다. 그러나 서울시와 같은 고밀도 도시공간에서는 중앙버스전용차로 도입 이후에도 특정 정류장 구간에서 만성적인 통행지체가 발생하고 있으며, 이에 따라 중앙버스전용차로의 운영 효율성과 정책적 신뢰성에 대한 재검토가 요구되고 있다. 이에 본 연구는 현재 서울시 내 13개 축에서 운영 중인 중앙버스전용차로를 대상으로, 반복적으로 발생하는 정체 현상을 BMS 및 영상자료 기반의 시계열 자료를 활용하여 정량화하고, 정체 발생 유형을 구조적으로 유형화함으로써 정류장 운영상의 병목 요인을 진단하고, 이를 바탕으로 실효성 있는 개선방안을 마련하는 것을 목적으로 하였다. 특히 오전 및 오후 첨두시간대의 시계열 데이터를 Soft-DTW 기반 클러스터링 기법으로 분류하고, 각 유형별 특성을 비교·분석함으로써 정체의 공간적·시간적 구조를 다각도로 고찰하였다. 나아가 운영현황을 통해 정량 지표로 파악이 어려운 현장 요인을 보완적으로 반영하고, 이러한 분석 결과를 토대로 정책적 개선방안을 도출하였다.
분석 결과, 시간대별로 상이한 정체 패턴이 존재하였으며, 통행이 원활한 유형, 정차 지연 중심의 정체 유형, 수요 집중으로 인한 정차 증가 유형, 구조적 병목으로 인한 복합 정체 유형 등 총 네 가지로 유형화할 수 있었다. 각 유형은 노선 수, 운행 대수, 승하차 수요, 정차시간, 통행속도, 대기행렬 등 정류장 혼잡을 유발하는 요인의 구조적 조합에 따라 구분되었으며, 이와 같은 유형화 결과는 단순한 속도 저하의 진단을 넘어 정체 발생 원인을 규명하는 데 기여하였다. 또한, 운영현황을 통해 데이터 기반 분석으로는 확인이 어려운 정체 유발 요인을 물리적 용량 초과, 기하구조적 제약, 운영방식의 비효율성, 신호체계의 미비 등 네 가지로 구분할 수 있었으며, 이러한 유형별 원인을 바탕으로 단기 및 중장기 개선방안을 유형에 따라 매칭하여 제시하였다.
다만, 본 연구에는 다음과 같은 한계점이 존재한다. 첫째, 본 연구는 정류장 단위의 정체 유형 분석에 집중하였으나, 시간에 따른 정체패턴 변화와 노선 단위 또는 네트워크 단위에서의 병목 발생 구조에 대한 분석은 충분히 수행하지 못하였다. 향후에는 시간과 공간의 상호작용을 반영한 동적 분석 프레임이 필요하다. 둘째, 제안된 개선방안의 정책 효과는 시뮬레이션을 통한 실증적 검증이 이루어지지 않았다. 향후 연구에서는 마이크로 시뮬레이터를 활용한 정책 시나리오별 효과 분석이 요구된다. 마지막으로, 공급 측면 중심의 정체 진단에 집중한 본 연구의 한계를 보완하기 위해, 향후에는 이용자 행태 요인(예: 승차 위치 인지, 환승 저항, 정차지연 민감도 등)을 반영한 통합 분석이 필요하다. 이러한 한계에도 불구하고. 본 연구에서는 유형화된 정체 원인을 중심으로 개선 전략을 병렬적으로 연계함으로써, 중앙버스전용차로 운영의 효율성 제고와 혼잡 완화에 있어 구체적이고 실천 가능한 대안을 제시했다는 점에서 학술적·실무적 측면에서 의의가 크다. 또한, 향후 서울시뿐만 아니라 유사한 구조를 가진 타 도시의 버스중앙차로 운영 개선에도 확장 적용 가능한 분석 프레임워크를 제공한다는 점에서 활용 가능성 또한 높을 것으로 기대된다.











